合作客户/
拜耳公司 |
同济大学 |
联合大学 |
美国保洁 |
美国强生 |
瑞士罗氏 |
相关新闻Info
推荐新闻Info
-
> 反离子盐KBr浓度对酰胺基阳离子Gemini表面活性剂的表/界面活性的影响(二)
> 反离子盐KBr浓度对酰胺基阳离子Gemini表面活性剂的表/界面活性的影响(一)
> 典型离子型与非离子型起泡剂的界面行为对泡沫性能的影响机制
> 新无氰白铜锡电镀液及电镀方法可降低表面张力,促进镀液对复杂工件的润湿
> 一种耐超高温酸液体系、制备方法及其应用
> 纳米渗吸驱油剂种类、降低界面张力和改变润湿性的能力等机理研究(四)
> 复合驱中聚合物与阴离子表面活性剂的协同作用研究
> 化学组成对无碱铝硼硅OLED基板玻璃表面张力的影响——结果、结论
> 化学组成对无碱铝硼硅OLED基板玻璃表面张力的影响——摘要、实验方法
> 纳米渗吸驱油剂种类、降低界面张力和改变润湿性的能力等机理研究(三)
钢笔里的毛细作用与表面张力【干货】
来源:知乎 浏览 2584 次 发布时间:2021-10-15
本文旨在通过物理的手段来分析和解决一些常见的钢笔方面问题,在选题、分析的过程中难免受限于个人知识水平和表达的局限,如果有不同的见解,或者其他感兴趣的话题,都欢迎在评论区进行讨论。需要注意的是,复杂的实际情况并不是真空中的球形鸡,要求一套理论能够解释和预测所有情况,不是一个合格的工程师应该有的思维,只要能局部成立、把事情讲清楚的理论就是好理论。
目录
一、前言
二、基本概念
三、理想状态下的导墨系统
四、鳍片
五、“起笔飞白”的成因及解决方案
六、“水枪”的成因及解决方案
七、“断墨”的成因及解决方案
一、前言
“表面张力”这个词在日常生活中被提及的次数非常多,以至于很多并没有系统学习过相关知识的朋友,也以为自己理解了——几年前我自己也是这么以为的,直到现在做表面活性剂相关的项目做了一年多才有了更深的理解。
在正式开始之前,这里摘录一段话:液体具有内聚性和吸附性,这两者都是分子引力的表现形式。内聚性使液体能抵抗拉伸应力,而吸附性则使液体可以黏附在其他物体上面。
二、基本概念
浸润
液体在与固体接触时,沿固体表面扩展而相互附着的现象,又称为液体浸润固体,也可称为润湿。当附着力大于内聚力时,会发生液体浸润。
θ<90°为浸润
θ的测量方法
毛细作用
毛细作用是指浸润液体在细管里升高的现象(和不浸润液体在细管里降低的现象,本文仅讨论浸润液体的情形)。
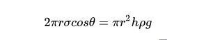
有关“毛细作用”这里展开说明一下,虽然字面意思和实际现象都很容易理解,但他的本质实际上是液体和毛细管间吸引力要大于液体内部的吸引力,导致在界面处存在一个拉力,把液体往高处拉,最终达到的平衡就是这个拉力和重力的平衡。(ps拉力的大小就与浸润角直接相关)。
等式左边为拉力合,右边为水柱重力
而整体来看,液体分子间的力与液体表面积有关,界面处的作用力则跟接触的周长相关。如果通道足够细,则内聚的力会小于吸附的力;而当通道变宽时(r增大),内聚力的提高(或者理解为水重量的上升)高于吸附力的提升的。因此只有“毛细管”才能看到明显的“毛细作用”,因为此时吸附力是远大于内聚力的。
三、理想状态下的导墨系统
“导墨系统”是我自己为了方便描述给的概念,大体上包括了储存墨水的墨囊/上墨器/活塞腔体,直接插入储墨部分的毛细管,笔舌,和笔尖上的气孔。这些部件并不一定在每一支笔上都存在,也有可能集成在了一起,但他们大致上发挥的作用是一致的。
中间两排的零件即组成了所谓“导墨系统”,包括了第一排的金片、笔舌、笔舌总成套筒,第二排的笔握、上墨器。
至于活塞钢笔,他们主要是上墨和储墨的结构不太一样,“差动式活塞”的原理可以看我很早以前的一篇答案:
http://www.zhihu.com/question/56641752/answer/150216188
先抛开储墨部分不谈,只考虑“出墨”的部分。
如果蜜桃性爱视频网站设想一种结构最为简单的笔——蘸水笔,甚至是直接由两片金属夹在一起制成的鸭嘴笔。在这里由于吸附力的缘故,可以有一定体积的墨水被携带在笔上,不会由于重力而全部滴下来。当笔尖接触到纸面上,可以认为未吸水纸张,对于液体的吸附能力要远远强于储存墨水的笔尖,因此墨水会迅速地转移到纸上,而当纸张的纤维已经吸水饱和后,就不再具有这个效果,使得剩下的墨水仍然留在笔尖上。
鸭嘴笔可以参考我去年一篇文章:
http://zhuanlan.zhihu.com/p/78312713
鸭嘴笔蘸墨的状态
而带有储墨装置的钢笔,则是需要毛细管先将墨水从储存处吸出(这里就是典型的毛细作用),将其导入到笔尖气孔处。钢笔笔尖的开叉则类似于一个导墨槽,虽然笔尖和笔舌接触的部分都内含了足够多的墨水,但达到纸面前最终的一小段距离还是靠这段开缝和最前端的铱粒。
可以看到从气孔到笔尖这段开缝上,有很多墨水。事实上即使你想用纸巾完全擦干净都不太可能。
中缝到铱粒这段距离的开缝,包括铱粒的打磨方式对写字时下水流畅度影响相当大
笔尖气孔对于墨水流出的过程并无很大帮助,甚至它对于维持内部气压平衡的作用也有限(因为由很多别的孔可以起到类似的效果)。个人认为气孔最主要的作用,其实是上墨的时候不用把笔握完全浸入墨水中,这对一些容易染色的笔握是很关键的。
四、鳍片
鳍片就是存在于笔舌下方,平行排列的一系列薄片。
笔尖下面就是称为“鳍片”的部分
在笔尖装入总成后,有一部分被植入进总成内,而相当一部分则留在了外面。内部的鳍片对于毛细把墨水吸出的帮助很明显,但外部鳍片能够起到的作用相当有限——这也是为什么很多品牌实际上取消了这个设计。

派克笔舌的设计就很有代表性,它内部还是有非常细密的鳍片,但外部却很“光滑”
百乐capless由于其按动出尖的设计,鳍片根本没有存在的空间
五、“起笔飞白”的成因及解决方案
如果一支笔只在每次刚开始用的第一笔时写不出墨,而一旦出墨以后却能保持顺畅不间断,这种现象蜜桃性爱视频网站称之为“起笔飞白”。
它的原因很简单,就是墨水在刚开始的时候被困在了笔尖里,无法与纸张相接触而造成的,这与笔尖结构、墨水性质和纸张性质都有一定的关系。
1、笔尖(铱粒)结构导致的“婴儿屁股”
这里引用国外论坛常用的一个词,叫“婴儿屁股”,它指的是一种中缝处过分内凹的铱粒构造(但往往是大铱粒,再加上过度打磨造成的)。墨水在中缝处本来就会形成一个内凹的液面(原理参考液体的内聚性和吸附性),铱粒突出的部分接触纸面时,这个内凹的液面却是很难碰到纸的,因此也就使得第一笔写的时候无法出墨了。
而连续的书写时,这部分“断路”一直都有墨水存在,也就不会中断了。因此“起笔飞白”和“出墨断续”其实是两个不同的问题。
具体的原理在这篇回答里面有详细的展开。
http://www.zhihu.com/question/386369723/answer/1150747247
2.解决方案
思路非常简单,就是需要保证中缝里的墨水能够顺利接触到墨水。那么最简单的就是换一个流动性更好的墨水,或者吸水性更强的纸(有关墨水的“流动性”,下一篇文章会专门用一个章节详细介绍)。
但如果单纯只考虑从钢笔层面的改动呢?
比较简单的方法是拿小刀片调整中缝的开缝大小,和笔尖与笔舌间的距离,使更多的墨水能够到达铱粒这边,靠重力也能克服最后内凹的这点距离。这一步骤俗称“刀尖”。只要不刮花金属镀层,基本上整个过程还是可逆的,就算一次下来效果不满意也有进一步调整的余地。比如刀得太宽了,还能捏一捏再让他紧一点。注意这里蜜桃性爱视频网站并不是要把中缝一味地开大,而是调整到合适的宽度,因为太宽墨水还是会留在中缝里,太窄又无法顺利地从笔舌那边引过来。
进一步的,可以想办法磨平这部分突出的铱粒,让中缝能够直接接触纸面。如果不想下手磨,其实忍一忍用个一个月,靠日常的书写也能比较自然地达到这个效果。这个方法缺点当然就是不可逆,一旦磨过头这个笔尖基本上也就废了。
一句经验之谈送给各位:基本上没有用坏的钢笔,笔都是自己修坏的。
六、“水枪”的成因及解决方案
翻译一下,“水枪”其实就是指下水过于充沛的夸张说法,它一般出墨量还是挺均匀的,就是有些过于多了,虽然在非常快速地签名时这可能是个优点,但想要拿来慢慢写小字的话,它会造成笔画过粗、同时干得也很慢的毛病。
但很遗憾的是,水枪一般是钢笔从出厂就带上的“设定”,且我个人认为这并不是一个问题,而是厂家对于钢笔定位的选择。它单纯从钢笔本身来说很难被改变,如果你不喜欢这种下水很多的笔,应该从一开始就避免购买,而不是后来再想办法解决。
一定程度的改善还是可以做到的,但仍然需要从墨水着手,选用流动性更差的墨水就可以显著地提高使用体验,哪怕万宝龙现产M尖的笔也可以正常在横线的本子上使用。具体内容敬请关注下一期有关墨水的文章。
七、“断墨”的成因及解决方案
“断墨”一般指书写连续笔画的过程中,出现了墨水供应不匀的情况。这种问题其实比“起笔飞白”更加恼火,因为飞白也就刚开始的第一下,而断墨谁也不知道会发生在什么地方,断了再回过头来补一笔确实是太难受了。
它产生的原因其实不完全是供墨系统上,比如一种常见的情况:手长时间接触在纸上,把一部分油脂留在了上面,那笔在写上去的时候,由于疏水作用墨水就无法出来了。这在一些有涂层处理、抛光过的纸张上尤其容易出现,比如Rhodia的上翻本,和巴川纸之类的。
另外就是钢笔本身的缘故了,可能内部的毛细存在堵塞,墨水并不是连续出来的。更进一步的原因可能是长时间没有使用、也没有清洗,水分蒸发后留有一部分固体沉积在内产生堵塞;或者混用不同墨水,造成聚沉;以及很少见的,毛细本身工艺不合格,有没有疏通的部分。
这些都可以通过彻底的拆洗而得到很好的解决,一般钢笔配送的说明书上都告诉你洗笔只要反复吸清水再浸泡就够了,但实际上不拆开你真的不知道里面都积了多少年的陈年旧墨,尤其是之前用过传统碳素墨水的,直接能洗下一层泥出来。





