合作客户/
拜耳公司 |
同济大学 |
联合大学 |
美国保洁 |
美国强生 |
瑞士罗氏 |
相关新闻Info
-
> 中心对称分子稀土夹心双酞菁铥LB膜制备及二次谐波产生机制
> 离子组成、pH值对纳米SiO2/SDS体系降低油水界面张力的影响(一)
> 3种常见醇类燃料甲醇、乙醇、正丁醇喷雾特性与表面张力的关系(一)
> 界面张力作用下泥质钻渣泥化黏附机理分析
> 液滴爆炸现象:酒精蒸发引起的马兰戈尼流动现象影响参数(三)
> 强子夸克相变的表面张力数值变化研究(一)
> 表面活性剂复配对煤尘润湿性的协同效应研究
> 油藏储层油水界面张力是形成启动压力梯度的微观成因
> 电晕对BOPP薄膜表面张力、化学结构、元素组成的影响
> 铝酸镧基片上沉积制备纳尺度的铜薄膜,蜜桃国产成人精品区在线观看精准测量沉积质量
推荐新闻Info
-
> 反离子盐KBr浓度对酰胺基阳离子Gemini表面活性剂的表/界面活性的影响(二)
> 反离子盐KBr浓度对酰胺基阳离子Gemini表面活性剂的表/界面活性的影响(一)
> 典型离子型与非离子型起泡剂的界面行为对泡沫性能的影响机制
> 新无氰白铜锡电镀液及电镀方法可降低表面张力,促进镀液对复杂工件的润湿
> 一种耐超高温酸液体系、制备方法及其应用
> 纳米渗吸驱油剂种类、降低界面张力和改变润湿性的能力等机理研究(四)
> 复合驱中聚合物与阴离子表面活性剂的协同作用研究
> 化学组成对无碱铝硼硅OLED基板玻璃表面张力的影响——结果、结论
> 化学组成对无碱铝硼硅OLED基板玻璃表面张力的影响——摘要、实验方法
> 纳米渗吸驱油剂种类、降低界面张力和改变润湿性的能力等机理研究(三)
各种测量ILs汽化焓对比:表面张力法、热重法、简单相加法、 基团贡献法……(二)
来源:化工学报 浏览 1361 次 发布时间:2024-08-16
2估算法
2.1有效原子法
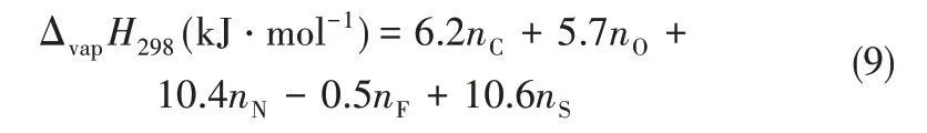
2005年,Kabo等[37]用Knudsen渗流法测出了[C4mim][Tf2N]的蒸气压,从而计算得到汽化焓,Kabo等基于有效原子的相加性提出式(9)计算298 K的汽化焓
式中,ni是分子或离子对中第i种原子的数量。
2.2沸点估计法
2005年,Rebelo等[36]将Eötvös公式应用在ILs上,2006年,Kabo等[40]用这种方法估算了[Cnmim][Tf2N]系列ILs的汽化焓。
已知不同温度下表面张力的数值,物质的临界温度Tc可以通过Eötvös公式估算
式中,γ是样品在温度T下测得的表面张力;V是液体的摩尔体积;Tc是临界温度;k是经验常数。将实验值γ和V2/3的乘积相对于热力学温度T进行线性回归,并获得一条直线,从直线和截距的斜率,可以得到k和Tc的值。对于大部分有机液体来说,k大约为2.1×10-7J·K-1,而对于简单熔盐,k比较小,NaCl的k≈10-7J·K-1。
Rebelo等[36]认为ILs的沸点Tb可以用Tc估算
虽然Kabo等[40]用这种方法估算了ILs的汽化焓,但是他们认为这些公式是从分子液体中得出的,可能并不适用于ILs,因此他们在之后提出了表面张力法。
2007年,Tong等[68]使用这种方法推导了[C6mim][InCl4](1-甲基-3-己咪唑氯铟)的汽化焓为70.8 kJ·mol-1,小于表面张力法计算得到的ΔvapH298(171.8 kJ·mol-1)。
2.3简单相加法
2008年,Verevkin[71]开发了一种基于经验公式的简单相加法来计算ILs的蒸发焓,该焓被分解为构成元素的主要成分和辅助成分的校正(基于结构上的特殊性,例如CF3基团或环状结构的存在)
式中,ΔHi是第i种元素的贡献;ΔHj是第j种元素的贡献;nj是ILs中第j种结构校正的次数。
使用简单相加法计算ILs的汽化焓直接简便,因为它是经验公式,因此不需要任何实验输入或昂贵的计算资源,这是一种获得ILs热力学性质的新方法,它将为支持从头计算程序和分子动力学模拟技术提供有价值的数据,以便在分子基础上理解ILs的热力学性质。
2.4基团贡献法
2012年,Zaitsau等[72]使用石英晶体微量天平法测量了具有相同阳离子1-乙基-3-甲基咪唑[C2mim]+和不同阴离子组成的一系列ILs,揭示了汽化焓和特定的阳离子与阴离子相互作用之间的关系。
在之前的工作中,Verevkin等[71]已经提出了用简单相加法估算ILs蒸发焓,他们还建立了蒸发焓的经验基团贡献方程,尽管简单,但与所研究流体的实验结果差异不超过5 kJ·mol-1。在此基础上,Zaitsau等[73]开发了一种简单的基团贡献方法来预测烷基咪唑类ILs的汽化焓,在这个工作中,他们参考了实验结果和文献数据,给出了每个基团的贡献值,可以直接进行加和计算。
ILs的组合方式众多,可能形成的ILs的数量巨大,因此,开发一种能够用来预测未合成的ILs的物理化学性质的方法十分重要[73]。这种估算ILs汽化焓的方法简单方便,广泛地适用于包含咪唑阳离子的ILs,而可能不适用于其他体系的ILs。
3结论
本文综述了测量ILs汽化焓的实验方法和估算方法,估算法简单方便,得到的汽化焓数据可以作为参考,而实验法结果可靠,能够为研究提供更准确的数据。其中,大部分实验法需要在较高温度条件下测量ILs的汽化焓,但是有很多ILs热稳定性差,在高温下容易分解,因此,对它们而言,用表面张力法来计算它们在298 K处的汽化焓是有必要的,但表面张力法只能计算室温下的ILs汽化焓,而用其他方法可以得到ILs在沸点附近的汽化焓,这对认识它们的性质更为重要。
总而言之,本文介绍和评价了各种测量ILs汽化焓的方法,简述其研究思路,并进行比较,有助于研究者选择合适的方法进行研究。通过对ILs汽化焓的实验测定,认识到简单ILs的汽化焓并不高,在100~150 kJ·mol-1之间,这是一个新发现。此外,汽化焓的测定能够为计算机模拟提供更多的数据,构建精确的分子模型,有助于深入了解ILs的性质,从而预测ILs的行为。从工业上看,汽化焓与物质的蒸馏、吸收、溶解等过程均相关,ILs汽化焓数据的确定有助于将来能够改进ILs的合成路线,拓展ILs的应用。





