合作客户/
拜耳公司 |
同济大学 |
联合大学 |
美国保洁 |
美国强生 |
瑞士罗氏 |
相关新闻Info
-
> 十二烷基硫酸钠、水杨酸丁酯流动驱动自推进界面张力和表面流速测量
> 气溶胶固定剂PAM-b-PVTES合成路线及GPC、DSC、表面张力等性能测试(三)
> 激光钎涂金刚石的涂层形成与表面张力有何关系(一)
> 电化学氧化对液态金属表面张力的影响机制:表面张力可随电位变化
> 流平剂作用原理、种类、应用性能及与表面张力的关系
> 混合型生物洗油菌发酵上清液的表面张力值测定(一)
> 基于LB膜技术制备胶原蛋白肽覆层羟基磷灰石的新方法——摘要、材料与方法
> 助剂临界胶束浓度对芒果细菌性角斑病防治药剂表面张力的影响(三)
> 一体化生物复合乳液研制及在碳酸盐岩体积加砂压裂中的应用(一)
> 表面张力:微观力场中的宏观奇迹
推荐新闻Info
-
> 反离子盐KBr浓度对酰胺基阳离子Gemini表面活性剂的表/界面活性的影响(二)
> 反离子盐KBr浓度对酰胺基阳离子Gemini表面活性剂的表/界面活性的影响(一)
> 典型离子型与非离子型起泡剂的界面行为对泡沫性能的影响机制
> 新无氰白铜锡电镀液及电镀方法可降低表面张力,促进镀液对复杂工件的润湿
> 一种耐超高温酸液体系、制备方法及其应用
> 纳米渗吸驱油剂种类、降低界面张力和改变润湿性的能力等机理研究(四)
> 复合驱中聚合物与阴离子表面活性剂的协同作用研究
> 化学组成对无碱铝硼硅OLED基板玻璃表面张力的影响——结果、结论
> 化学组成对无碱铝硼硅OLED基板玻璃表面张力的影响——摘要、实验方法
> 纳米渗吸驱油剂种类、降低界面张力和改变润湿性的能力等机理研究(三)
基于表面张力测试研究Gemini季铵盐在氟磷灰石与石英界面的吸附行为
来源:矿产综合利用 浏览 1040 次 发布时间:2024-09-18
硅质型磷矿的主要脉石是石英,常用的反浮选脱硅阳离子药剂为脂肪胺类阳离子捕收剂,十二胺最为常用,但该类药剂普遍存在泡沫发粘、溶解度较低、受pH值影响较大等问题。磷矿双反浮选作业中,由于前段脱镁作业需在酸性矿浆中完成,后段脱硅作业需在弱碱性条件下完成,需要添加大量碱性pH值调整剂,增加了磷矿选矿的成本及回水的利用难度。氟磷灰石与石英自然条件下在溶液中都是呈电负性,阳离子药剂仅通过静电吸附与石英作用,分选效率较低;而且氟磷灰石中离子成分组成较为复杂,浮选过程中影响因素较多,给氟磷灰石与石英的分离也带来一定困难。因此开发高效的阳离子捕收剂是磷矿反浮选脱硅研究的一个重要课题。随着环境问题的日益显现,环保型新型药剂的开发引起广大研究者的重视,研究人员发现在Gemini季铵盐捕收剂的结构中插入酯基官能团,不仅具有更高的表面活性,还使其具有较好的生物降解性。
本研究制备了一种分子结构中具有两个酯基及两个羟基的独特结构的双酯Gemini季铵盐作为阳离子捕收剂,借助在浮选药剂结构与性能研究方面,钟宣提出的CMC判据与分子几何大小判据,陈建华等提出的电负性判据,周国华提出的化学反应电子转移数判据,以及近年来通过量子化学计算和分子动力学模拟所引出的前线轨道判据、电子密度判据、相互作用能判据等,通过药剂的分子结构特点、表面物理化学性能以及量子化学参数等数据对药剂的捕收能力、选择性做出预测。本研究将自制的双酯Gemini季铵盐用于氟磷灰石与石英的单矿物浮选实验,结合分子动力学模拟、接触角测试等手段对双酯Gemini季铵盐在氟磷灰石与石英界面的吸附行为进行研究。
1.实验
1.1实验矿样与药剂
磷矿纯矿物选自黄梅磷矿,化学滴定法测得P2O5含量为36.1%;石英纯矿物购买自广东河源正品粤石英砂厂,品位为99.4%。将纯矿物分别采用三头玛瑙研磨仪研磨,选取粒径范围为-0.074+0.038 mm的纯矿物样品进行单矿物浮选。双酯Gemini季铵盐捕收剂为实验室自制,pH值调节药剂HCl、NaOH均为分析纯,分别购买自天津市大茂化学试剂厂和天津市北联精细化学品开发有限公司,实验用水均为蒸馏水。
1.2表面张力测试
表面张力测试采用芬兰Kibron公司全自动蜜桃AV免费观看。采用铂金板法在室温(20±1)℃条件下用蒸馏水配制不同浓度的药剂溶液,对十二胺盐酸盐(DDAH)与双酯Gemini季铵盐的表面张力进行测试。
2.结果与讨论
2.1药剂表面张力
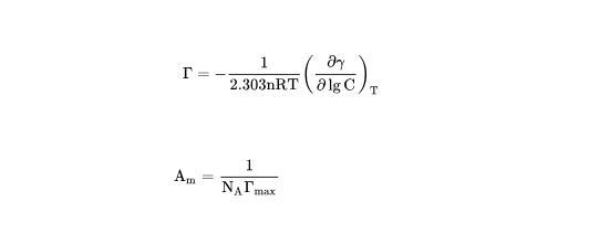
图1 DDAH与双酯Gemini季铵盐的γ-lgC
DDAH与双酯Gemini季铵盐的表面张力(γ)随浓度对数(lgC)变化见图1。根据浮选药剂的CMC判据可知,浮选药剂CMC的大小不仅可以用来预测药剂的类别和作用,还可以用来衡量其疏水-亲水性能。CMC越小,浮选药剂的疏水性能就越强,捕收能力越强,反之,CMC越大,亲水性越强。此外,表面活性剂溶液的各种物理化学性能如表面张力、润湿性、电导度、透光度等在CMC值前后会出现明显转折,CMC值还可以预估药剂的用量范围。γ-lgC图中曲线拐点处所对应的浓度即为药剂的CMC值,可以看到双酯Gemini季铵盐的CMC比DDAH低1个数量级。由公式(1)、(2)分别对DDAH与双酯Gemini季铵盐的表面超量(Γmax)、吸附质分子横截面积(Am)进行计算,计算结果见表1,数据对比可知,双酯Gemini季铵盐比DDAH具有更大的分子横截面积。钟宣在浮选药剂分子几何大小与选择性判据中指出药剂分子断面大小主要取决于极性基的大小,并且药剂极性基团断面越大,选择性越高。因此根据CMC判据、分子几何大小判据,可以推断双酯Gemini季铵盐比DDAH具有更强的捕收能力、疏水性以及更好的选择性。
表1 DDAH与双酯Gemini季铵盐表面性能计算结果
2.2药剂与矿物作用前后的接触角
磷矿和石英分别与双酯Gemini季铵盐、DDAH作用的表面接触角测定结果见图2。当药剂用量为0时,石英表面的亲水性大于磷矿。与双酯Gemini季铵盐作用后,石英接触角显著增加,在0.01 mmol/L时较大(79.50°),随后石英接触角有略微减小,这是由于药剂浓度过大后双酯Gemini季铵盐在石英表面发生反向吸附。DDAH在较低浓度时与石英作用后,石英表面接触角增大的幅度较小,在较高的浓度时,石英表面接触角增大明显,疏水性得到较大提升。磷矿与双酯Gemini季铵盐或DDAH作用,其接触角增加均并不明显。说明阳离子捕收剂双酯Gemini季铵盐或DDAH更易与石英表面作用,且与DDAH相比,双酯Gemini季铵盐在较低浓度时即可使石英疏水性得到较大提升。
图2双酯Gemini季铵盐、DDAH与石英和磷矿作用接触角
3.结论
(1)自制双酯Gemini季铵盐具有更低的CMC值,更大的分子截面积,结合CMC判据与分子几何大小判据可以推断双酯Gemini季铵盐具有更强的捕收能力和更好的选择性。
(2)自制双酯Gemini季铵盐对石英的浮选上浮率远大于氟磷灰石,对石英具有较强的捕收能力。与DDAH相比,自制的双酯Gemini季铵盐具有更广泛的pH值适应性。
(3)相比磷灰石,自制双酯Gemini季铵盐与石英吸附作用更大,更易与石英吸附作用,且可以显著提高石英表面的疏水性。





