合作客户/
拜耳公司 |
同济大学 |
联合大学 |
美国保洁 |
美国强生 |
瑞士罗氏 |
相关新闻Info
-
> 烧结矿致密化行为研究:不同碱度条件下熔体的表面张力、表观黏度值(二)
> 表面活性剂生物降解度测定方法种类及表面张力法的优势——摘要、实验部分
> SAW作用下的液膜铺展实验:引入活性剂浓度对分离压和表面张力的影响
> 什么是酒的挂杯现象?马兰戈尼效应
> 羧酸盐型Gemini表面活性剂GAC-31合成条件及表、界面活性研究(一)
> 3种不同类型喷雾助剂对氟啶虫胺腈药液表面张力及在苹果叶片润湿持留性能测定(二)
> 质量分数对纳米流体表面张力、雾化模式的影响
> 沥青质及其亚组分与烷基苯磺酸钠水溶液在降低IFT中的协同机理(一)
> 强紫外线辐射对减缩剂抑制水泥石干缩变形效果研究(二)
> 正丁醇水溶液表面张力的测定原理及计算过程
推荐新闻Info
-
> 反离子盐KBr浓度对酰胺基阳离子Gemini表面活性剂的表/界面活性的影响(二)
> 反离子盐KBr浓度对酰胺基阳离子Gemini表面活性剂的表/界面活性的影响(一)
> 典型离子型与非离子型起泡剂的界面行为对泡沫性能的影响机制
> 新无氰白铜锡电镀液及电镀方法可降低表面张力,促进镀液对复杂工件的润湿
> 一种耐超高温酸液体系、制备方法及其应用
> 纳米渗吸驱油剂种类、降低界面张力和改变润湿性的能力等机理研究(四)
> 复合驱中聚合物与阴离子表面活性剂的协同作用研究
> 化学组成对无碱铝硼硅OLED基板玻璃表面张力的影响——结果、结论
> 化学组成对无碱铝硼硅OLED基板玻璃表面张力的影响——摘要、实验方法
> 纳米渗吸驱油剂种类、降低界面张力和改变润湿性的能力等机理研究(三)
多频超声波技术&人工神经网络构建变压器油界面张力预测模型(一)
来源: 《重庆理工大学学报(自然科学)》 浏览 1079 次 发布时间:2024-10-23
针对目前变压器油界面张力的传统检测方法检测时间长、成本高等问题,提出了基于多频超声检测技术和人工智能算法的界面张力预测方法。对选取的175组变压器油样进行圆环法界面张力检测和多频超声波检测,分析了多频超声波信号的幅频响应、相频响应和界面张力之间的相关性。通过核主成分分析(KPCA)预处理多频超声波数据,划分样本集为140组的训练集和35组的测试集,并建立麻雀搜索算法(SSA)优化Elman神经网络(ENN)的界面张力预测模型,预测平均相对误差为6.53%,预测准确率达到93.47%.
变压器作为电力系统中电能转换和传输的重要电气设备,其运行过程中的安全稳定运行性和可靠性对于电力系统的稳定运行具有重要意义。
油浸式变压器中的主要液体绝缘介质为变压器油,是经石油加工后的多种天然烃类的混合物,具有良好的绝缘性、冷却性和流动性。界面张力在一定程度上可以反映变压器油中油和水的亲和力的大小,油水两相界面上的分子排列状态会受亲水性极性分子的含量影响,一旦被改变会影响变压器油的绝缘性能。所以,变压器油绝缘的劣化程度可以通过界面张力的大小来衡量。
针对变压器油界面张力的检测方法,GB/T6541规定了圆环法为其现行的标准检测方法。界面张力的其他测定方法,有毛细管上升法、最大气泡压法、悬滴法、滴体积法和Wilhelmy吊片法等。以上传统的测定方法需要昂贵的检测设备和较长的检测时间,在一定程度上会增加变压器的运行成本,所以研究一种检测时间短、运行成本低的检测界面张力的方法对于判断变压器油的品质状态具有重要意义。超声波检测技术作为一种无损检测技术,在待测介质中传播时对介质无损伤,且检测的速度快、对环境的抗干扰能力强,在液体检测领域有着充分的发展和应用。
2005年,Elvira等针对检测牛奶中微生物的生长情况问题,利用超声波的振幅和延迟信息,在不打开包装的前提下开发了一种八通道超声波设备。
2014年,王娜利用牛奶与超声波衰减机理,研究了成分含量正常的牛奶与加入食品添加剂或者变质的牛奶对不同频率超声波的声衰减谱特性,实现了牛奶质量在线与现场无损伤检测与评估。
2019年,Baesso等针对生物柴油的质量和纯度评估问题,利用超声波在传播过程中的声速和衰减系数的变化情况,检测出了质量分数为0.1%的污染物。除了在液体检测领域的应用外,在变压器状态检测方面超声波也有一定的应用和发展,主要是将超声波应用在变压器局部放电检测和变压器绕组变形检测等方面。
近年来,超声波检测技术逐渐应用到变压器油的检测上。2019年,Yang等针对变压器油中的微水含量问题,利用多频超声波在具有不同特性的变压器油中传播时声衰减情况的不同,分析幅值和相位等声学参数的变化规律,并结合人工神经网络实现了对变压器油中微水含量的有效预测。2022年,陈越利用超声波接收波形的峰值对水泥砂浆的均匀度进行了检测判断,相较于目前对凝固后固态水泥的检测,对于搅拌质量的检测更有实际意义。2022年,Li等利用多频超声检测技术提出了PSOElman模型,实现了对变压器油介损因数的有效预测。
2019年,杨壮等利用多频超声波技术对变压器油进行检测,并结合GABPNN对变压器油界面张力进行预测,但该研究针对声学参数和界面张力之间相关性的分析只考虑了超声波信号的幅值,未考虑声速、相位等参数信息。
因此,基于多频超声波技术,并结合人工神经网络提出对变压器油的界面张力的检测方法,综合分析超声波信号幅值、相位等参数与界面张力之间的关系,建立以核主成分分析(kernelprincipalcomponentanalysis,KPCA)预处理数据、麻雀搜索算法(sparrowsearchalgorithm,SSA)优化Elman神经网络(ENN)参数的界面张力预测模型,以采集到的多频超声波数据为输入、圆环法测得的界面张力为输出,并划分训练集和测试集,以测试集的预测准确率验证界面张力预测模型的可行性。
1变压器油界面张力的多频超声检测
1.1多频超声检测平台
用于检测变压器油的多频超声检测平台结构如图1所示。
图1检测平台结构
该系统由3部分组成:超声波传感器、多频超声波控制单元和数据处理单元。多频超声波控制单元包括产生超声波信号的超声波发射模块和用于接收超声波信号的超声波接收模块,其中超声波传感器的输入端与超声波发射模块连接,超声波传感器的输出端与超声波接收模块连接。与多频控制单元的信号输出口相连接的超声波发射器将电信号经过延迟线中的超声换能器转换为声波信号,并进入测量室中的待测介质变压器油中进行传播。超声波发射模块每20s产生40个频率范围为590——1000kHz的超声波信号,40个频率点如表1所示。
表1多频超声波的检测频率kHz
图1所示的超声波传感器由超声波接收器、
超声波发射器、温度传感器、测量室和超声波发射器组成,其中位于测量室两端的2个超声波接收器用于接收在变压器油中传播的超声波信号,超声波发射器进行信号发射。为保证超声波实验检测的精度,变压器油的多频超声检测是在27.5℃的水浴恒温环境中进行的,由位于测量室的温度传感器进行监测。数据处理单元通过数字信号处理电路与多频超声控制单元进行连接,用于处理多频超声波接收模块接收到的超声波信号。经过数据处理单元处理的超声波信号,主要包括不同接收器所接收到的超声波信号的幅值、相位以及超声波信号在油中传播时的声速和飞行时间。
在多频超声变压器油检测实验中,利用多频超声检测平台,将超声波反射检测法和超声波透射检测法相结合,对实验所选取的175组变压器油样进行检测。对于变压器油的检测,多频超声波检测技术无需对油样进行预处理,检测的重复性好,在一定程度上缩短了检测时间。超声波反射检测法和超声波透射检测法的不同之处在于,相对于待测介质,超声波发射器和超声波接收器放置的位置有所不同。前者的超声波发射器和超声波接收器位于待测介质的同侧,而后者则位于待测介质变压器油的两侧。超声波信号经过延迟线到达测量室的待测介质变压器油界面前,在基准介质和测量室的变压器油界面之间反射,该反射信号反向传播至超声波接收器T1,为相信号L1;没有发生反射的另一部分超声波信号发生透射在待测介质变压器油中传播,传播至超声波接收器T2处被接收,为相信号L3;经过透射传播至超声波接收器T2的超声波信号,一部分再次经过反射在变压器油中进行传播至超声波接收器T1,为相信号L2.
1.2多频超声检测变压器油的声衰减原理
多频超声检测变压器油利用的主要是超声波在传播过程中的声衰减特性。引起超声波在待测介质传播过程中衰减的主要原因是波束扩散、晶粒散射和介质吸收。扩散衰减是指超声波在变压器油传播的过程中,由于波束的扩散,随着传播距离的增加超声波的能量逐渐衰减的过程,其仅取决于波面的形状,与变压器油本身的特性无关。
散射衰减是由于变压器油中如杂质粒子和带点胶体等的存在,超声波在油中传播时,遇到声阻抗不同的界面产生散射而造成的能量大量衰减。超声波在介质中传播时,由于介质中质点间摩擦的黏滞性和热传导引起的能量衰减为吸收衰减。
对于变压器油这种液体绝缘介质,超声波传播过程中的超声波衰减主要是吸收衰减造成的,其衰减系数满足:
式中:f为超声波信号的频率,η为黏滞系数,c和ρ分别为超声波在变压器油中的声速和变压器油的密度。主要影响吸收衰减系数的是黏滞系数η,与衰减系数成正比;与黏滞系数相反,ρ和c与吸收衰减系数成反比。
由超声波发射器发射的超声波信号垂直入射至变压器油的分界面处时,一部分超声波信号透射入变压器油中继续传播,其余部分的超声波信号垂直反射回超声波接收器,如图2所示。变压器油分界面处的声压和质点的振速满足连续原则,则可求得声压反射系数和声压透射系数分别为:
式中:γP和τP分别为声压的反射系数和透射系数,Z1和Z2分别代表基准介质和待测介质变压器油的声阻抗。
图2超声波信号在变压器油中传播时的反射和透射示意图
当超声波信号从声阻抗低的基准介质传播进入声阻抗高的待测介质时,反射超声波信号的声压小于超声波的入射声压,则透射超声波的声压大;当超声波信号从声阻抗高的基准介质进入声阻抗低的待测介质时,反射超声波信号的声压的绝对值小于入射声压,但反射的超声波信号与入射超声波信号的传播方向相反,会产生相互抵消的作用,使得透射超声波信号的声压很小。当Z1>>Z2或Z2>>Z1时,超声波几乎全反射。而当2种介质的声阻抗约相等时,可看做2种介质连续,超声波近似发生全透射。
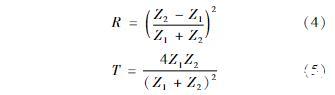
声强是一种单位能量,用来表示能量分配的声强反射率和透射率,由于超声波能量传播时满足能量守恒定律的关系,满足R+T=1,其中
超声波信号在传播的过程中,其透射和反射能量的大小与基准介质和待测介质2种介质的声阻抗的差异有关。两者的差异越小,超声波传播时声强的透射率越大,反射率越小。
变压器油作为液体绝缘介质,在变压器的运行过程中,由于电场作用、氧化反应、高温环境以及水分等对变压器油的影响,油中会产生极性杂质和带电胶体,而超声波在变压器油中传播时,极性杂质和带电胶体的存在会引起如图3所示的超
声波的散射和吸收衰减,在一定程度上加剧了超声波在变压器油中传输时的衰减。
图3超声波在变压器油中传输的声衰减示意图





