合作客户/
拜耳公司 |
同济大学 |
联合大学 |
美国保洁 |
美国强生 |
瑞士罗氏 |
相关新闻Info
推荐新闻Info
-
> 反离子盐KBr浓度对酰胺基阳离子Gemini表面活性剂的表/界面活性的影响(二)
> 反离子盐KBr浓度对酰胺基阳离子Gemini表面活性剂的表/界面活性的影响(一)
> 典型离子型与非离子型起泡剂的界面行为对泡沫性能的影响机制
> 新无氰白铜锡电镀液及电镀方法可降低表面张力,促进镀液对复杂工件的润湿
> 一种耐超高温酸液体系、制备方法及其应用
> 纳米渗吸驱油剂种类、降低界面张力和改变润湿性的能力等机理研究(四)
> 复合驱中聚合物与阴离子表面活性剂的协同作用研究
> 化学组成对无碱铝硼硅OLED基板玻璃表面张力的影响——结果、结论
> 化学组成对无碱铝硼硅OLED基板玻璃表面张力的影响——摘要、实验方法
> 纳米渗吸驱油剂种类、降低界面张力和改变润湿性的能力等机理研究(三)
肺内液表面张力的作用、临床意义及测量方法(二)
来源: 《医用生物力学》 浏览 847 次 发布时间:2025-01-07
2肺液体黏度的测量方法
适用于肺液体黏度测量的经典方法有毛细管法、旋转黏度计等。近年来出现的磁性微流变仪,粒子追踪微流变仪等新技术,由于其所需样品量小、测量范围广等突出的特点,在肺内液黏度测量上有着广阔的应用前景。
2.1毛细管黏度计
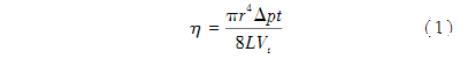
毛细管黏度计也称为管型黏度计,常见的是U形玻璃管黏度计。U形玻璃管一个臂中有精确的窄孔(毛细管),在毛细管的上部是测量球,测量球的上下部分存在两个校准标记;另一个臂的下端有一个储液球。在使用中,液体被吸入测量球中,然后液体向下流过毛细管进入储液器。液体在两个标记之间通过的时间是黏度(η)的量度。毛细管黏度计的原理是基于Poiseuille定律:
式中:r为毛细管半径;t为液体流经毛细管的时间;L为毛细管长度;Vt为t时间内液体所流过的体积;Δp为液体上下液面的压力差。毛细管黏度计使用方便,但它受剪切速率限制(一次只能测量对应一个剪切速率的黏度),并不适合肺液体或者黏液等非牛顿液体黏度的测量。
2.2旋转黏度计
旋转黏度计分为两种基本类型:一种为同轴圆柱体型,另一种为圆锥⁃平板型。圆柱黏度计的主要缺点是所需样品量较大,如商业化的Wells⁃Brookfield圆柱黏度计,尽管其使用了专门设计的小样本适配器,但仍需要2——16mL样本量。因此,临床试验中很少使用圆筒黏度计来测量肺液体黏度。锥板型黏度计主要包括一个平板和一个圆锥,圆锥的锥角一般在0ư8°——3°,近似于平板,圆锥紧贴平板放置,两者间留有微小的间隙。测试时,少量被测液体(一般只需要0ư5——2ư0mL)放置在锥与板形成的狭窄间隙内。基于测得的扭矩(剪切应力)和角速度(剪切速率),被测液体的黏度可表示为:
式中:M为扭矩;θ为锥角;r为圆锥体的半径;ω为角速度。锥板式黏度计已被广泛应用于肺液体流变学特性的测量。Baldry等使用锥板式黏度计测量的结果表明,在不同剪切速率下,使用相同痰液样本可以获得相似结果。同样,King等使用锥板式黏度计研究小牛肺表面活性剂水扩散物的体积剪切黏度。结果表明,肺表面活性剂表现出复杂的非牛顿流体特性,低剪切速率下具有较高的黏度。
2.3磁性微流变仪
磁性微流变仪主要用于小样品量液体黏度的测量,故十分适合对呼吸道黏液流变特性进行分析。在显微镜载物台上放置底部透明的容器,里面盛放待测液体并放入小钢球(直径50——150μm)。通过调节电磁场梯度振荡使球体发生位移,并用高分辨率视频显微镜监测小球轨迹,借助小球位移与磁力的关系曲线确定黏液的黏度】.磁性微流变仪的主要优点是所需的样品体积小,仅需2——5μL.然而,磁性微流变仪也存在某些缺点,如样本量非常小而导致快速脱水的危险,可能影响黏液流变性质。King等研究认为,磁性微流变仪的精度可能低于其他流变装置,这使得它可能更适合研究药物干预或疾病对黏液流变学的影响。2ư4粒子追踪微流变仪粒子追踪微流变仪可用来刻画复杂流体的线性黏弹特性,具有类似传统体积流变学测量的精度,同时测量所需的样品量可小至皮升到微升数量级。实验装置主要包括光源、胶体探针、光学显微镜、快速COMS相机和专门软件等。在低黏性流体中加入胶体探针,通过快速COMS相机获得流体中胶体探针的布朗热运动视频。然后使用专门软件对胶体探针的质心位置进行逐帧匹配,以识别每个粒子并生成其轨迹,依据胶体探针轨迹进一步计算单个粒子的均方位移(meansquareddisplacements,MSD)。对MSD进行分析可以得出流体的线性黏度随时间或频率的函数,进而计算出待测液的黏度。Dawson等利用多粒子追踪技术测量了囊性纤维化患者痰液在微米尺度上的有效黏度,结果发现CF痰液微观黏度比宏观黏度低1个数量级,表明CF患者痰液黏弹性的增强与粒子传输微观不均一性的增加相关。但基于粒子追踪表征黏液微观黏度时,可能由于胶体探针与黏液间的黏附作用使得测量值高于实际值。





