合作客户/
拜耳公司 |
同济大学 |
联合大学 |
美国保洁 |
美国强生 |
瑞士罗氏 |
相关新闻Info
-
> 混合型生物洗油菌发酵上清液的表面张力值测定(二)
> 不动杆菌菌株XH-2产生物表面活性剂发酵条件、性质、成分研究(一)
> 含氟防水防油剂的基础理论知识分享
> 超低界面张力泡沫驱油体系研究
> Langmuir-Blodgett法制备环糊精单分子或多分子层膜
> 表面张力在调控液滴-薄膜体系平衡构型的作用机制
> 连接基对3种表面活性剂GSS271、GSS371和GSS471动态表面性能的影响(上)
> 生物表面活性剂产生菌菌体密度、细胞疏水性与发酵液pH及表面张力的关系(一)
> 油藏环境中离子强度与类型、温度对烷基苯磺酸盐溶液油水界面张力的影响
> 液滴爆炸现象:酒精蒸发引起的马兰戈尼流动现象影响参数(二)
推荐新闻Info
-
> 反离子盐KBr浓度对酰胺基阳离子Gemini表面活性剂的表/界面活性的影响(二)
> 反离子盐KBr浓度对酰胺基阳离子Gemini表面活性剂的表/界面活性的影响(一)
> 典型离子型与非离子型起泡剂的界面行为对泡沫性能的影响机制
> 新无氰白铜锡电镀液及电镀方法可降低表面张力,促进镀液对复杂工件的润湿
> 一种耐超高温酸液体系、制备方法及其应用
> 纳米渗吸驱油剂种类、降低界面张力和改变润湿性的能力等机理研究(四)
> 复合驱中聚合物与阴离子表面活性剂的协同作用研究
> 化学组成对无碱铝硼硅OLED基板玻璃表面张力的影响——结果、结论
> 化学组成对无碱铝硼硅OLED基板玻璃表面张力的影响——摘要、实验方法
> 纳米渗吸驱油剂种类、降低界面张力和改变润湿性的能力等机理研究(三)
甜菜碱表面活性剂TAC制备方法及表面张力测定(一)
来源:精细化工 浏览 550 次 发布时间:2025-05-26
摘要
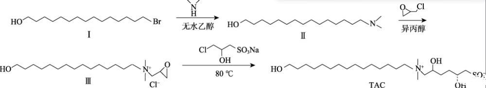
以15-溴-1-十五醇、二甲胺水溶液、环氧氯丙烷和3-氯-2-羟基丙磺酸钠为原料,通过季铵化反应和开环反应制备了甜菜碱表面活性剂(TAC),采用FTIR、HNMR、CNMR、MS对其结构进行了表征。将TAC添加至稠化酸(SY)中制备了SY-x-TAC(x为TAC添加量,以SY质量的计,取值为0.2%~1.0%,下同)。通过蜜桃AV免费观看、电导率仪、黏度计、流变仪、SEM对其进行了测试,考察了TAC添加量对SY-x-TAC耐温性和抗剪切性能的影响。结果表明,298.15 K下,TAC最低临界胶束浓度(CMC)为0.116 mmol/L。SY-0.4%-TAC的耐温、耐剪切性能显著提高,升温至180℃时其溶液表观黏度和继续剪切1 h后溶液的最终表观黏度分别为80.85和75.48 mPa·s,比SY(48.01和42.52 mPa·s)分别提高了68.40%和77.52%。在应力扫描范围内,SY-0.4%-TAC和SY-0.6%-TAC存在明显的线性黏弹区,表现为弹性体,体系空间结构为更紧密的网状结构。SY的疏水基团与TAC的疏水尾端相互作用,形成混合胶束。疏水基团被包裹在胶束内部,TAC的亲水基团代替SY的亲水链,实现分子间缔合,表现出良好的协同效应。
目前,中国致力于深井、超深井和低渗、超低渗致密油气方向的大规模勘探开发。酸化压裂是提高油气井产量的有效方法之一。而原针对160℃以下储层的交联酸体系已不能满足超过180℃的高温地层,因此,交联酸体系的应用仍需要深入探究。
交联剂、稠化剂和缓蚀剂是交联酸体系的3个重要组成部分。交联剂的加入不仅可以降低稠化剂的用量,还可提高稠化酸的弹性及黏度,减少对地层的伤害。因此,交联剂种类的选择至关重要。金属交联剂是使用较多的传统交联剂,它通过配位交联增加分子间刚性,进而影响耐温性能。但是金属交联剂易受pH影响,含有的金属元素对地层污染较大。表面活性剂作为交联剂,通过与聚合物分子间形成化学共价键实现物理交联,这种交联具有自修复能力,因此耐温性能得到改善,并可大幅降低对地层的污染。在高温油藏环境下,疏水缔合聚合物由于同时具备良好的耐温抗盐以及抗剪切性能,而被广泛研究和应用。甜菜碱表面活性剂的耐温抗盐性能、溶解性及稳定性良好,是一种优良的驱油剂,且长链的甜菜碱表面活性剂可形成蠕虫状胶束,促进分子间缔合,增加缔合连接数,从而增大黏度,增强稠化酸耐温、耐剪切性能。
本文拟以15-溴-1-十五醇、二甲胺水溶液、环氧氯丙烷、3-氯-2-羟基丙磺酸钠为原料,通过季铵化反应和开环反应制备了甜菜碱表面活性剂(TAC)。通过聚合物和表面活性剂分子的疏水单元组成的混合胶束与聚合物主链发生物理交联,从而产生扩展的聚合物网络,以期改善稠化酸的耐温、耐剪切性能,提高180℃高温地层的油气采收率。
1实验部分
1.1试剂与仪器
浓盐酸(质量分数36%)、15-溴-1-十五醇、二甲胺水溶液(质量分数40%)、无水乙醇、环氧氯丙烷、3-氯-2-羟基丙磺酸钠、异丙醇、NaHCO 3、氯仿,AR,国药集团化学试剂有限公司;酸液稠化剂SY-2,自制。
IRAffinity-1型傅里叶变换红外光谱仪(FTIR),日本Shimadzu公司;AVANCE NEO 600 MHz型核磁共振波谱仪(NMR),德国Bruker公司;LN11-ZNN-D6B型六速黏度计,北京海富达科技有限公司;SEM 3200型扫描电子显微镜(SEM),国仪量子科技有限公司;HAKKE MARSⅣ型流变仪,美国Thermo Fisher Scientific公司;Delta-8全自动高通量蜜桃AV免费观看,芬兰Kibron公司;RT1906A型电导率仪,北京磐研科技有限公司。





