合作客户/
拜耳公司 |
同济大学 |
联合大学 |
美国保洁 |
美国强生 |
瑞士罗氏 |
相关新闻Info
-
> 混合型生物洗油菌发酵上清液的表面张力值测定(二)
> 不动杆菌菌株XH-2产生物表面活性剂发酵条件、性质、成分研究(一)
> 含氟防水防油剂的基础理论知识分享
> 超低界面张力泡沫驱油体系研究
> Langmuir-Blodgett法制备环糊精单分子或多分子层膜
> 表面张力在调控液滴-薄膜体系平衡构型的作用机制
> 连接基对3种表面活性剂GSS271、GSS371和GSS471动态表面性能的影响(上)
> 生物表面活性剂产生菌菌体密度、细胞疏水性与发酵液pH及表面张力的关系(一)
> 油藏环境中离子强度与类型、温度对烷基苯磺酸盐溶液油水界面张力的影响
> 液滴爆炸现象:酒精蒸发引起的马兰戈尼流动现象影响参数(二)
推荐新闻Info
-
> 反离子盐KBr浓度对酰胺基阳离子Gemini表面活性剂的表/界面活性的影响(二)
> 反离子盐KBr浓度对酰胺基阳离子Gemini表面活性剂的表/界面活性的影响(一)
> 典型离子型与非离子型起泡剂的界面行为对泡沫性能的影响机制
> 新无氰白铜锡电镀液及电镀方法可降低表面张力,促进镀液对复杂工件的润湿
> 一种耐超高温酸液体系、制备方法及其应用
> 纳米渗吸驱油剂种类、降低界面张力和改变润湿性的能力等机理研究(四)
> 复合驱中聚合物与阴离子表面活性剂的协同作用研究
> 化学组成对无碱铝硼硅OLED基板玻璃表面张力的影响——结果、结论
> 化学组成对无碱铝硼硅OLED基板玻璃表面张力的影响——摘要、实验方法
> 纳米渗吸驱油剂种类、降低界面张力和改变润湿性的能力等机理研究(三)
不同表面张力和接触角下膨胀土裂隙的发展演化过程(二)
来源:《岩土工程学报》 浏览 493 次 发布时间:2025-05-30
1.3接触角测量试验
目前测量粉体接触角(包括土颗粒)的方法主要有3种:躺滴法、毛细管上升法和Wilhelmy平板法,其中,躺滴法测出的接触角为介于前进接触角和后退接触角之间的表观接触角,毛细管上升法测出的接触角为前进接触角,Wilhelmy平板法测出的接触角为前进接触角或后退接触角。土体开裂是一个相对较慢的过程,因此土颗粒与孔隙水的接触角大部分时间应该处于前进接触和后退接触角之间的某一表观接触角。所以,本文采用躺滴法对土颗粒接触角进行测量。土样烘干后过0.075 mm的筛,取长度为4 cm左右的双面胶带贴到载玻片上,将筛好的土颗粒均匀覆盖载玻片,并用重量为200 g的砝码压住载玻片,持续时间为2 min,移开砝码后反复轻轻磕碰载玻片以去除多余的土颗粒,直到胶带表面覆盖有一层薄薄的土颗粒,且土颗粒分布均匀无明显凸起。如图3所示,当水滴滴到被纯土覆盖的胶带上时,液滴迅速扩散开,此时土颗粒的亲水性很好,接触角趋近于0。水滴滴到另外两个覆盖着混有十八胺土样的载玻片时,形成了小液滴,此时固–液界面和气–液界面之间的夹角不为0,把这2块载玻片分别放到试验台上进行液滴在土颗粒表面的表观接触角测量,液滴初始体积为5μL,测量仪器为JC2000型接触角测量仪,如图4所示,每个土样的接触角反复测量5次后取平均值。十八胺含量为0.2%土样的接触角为30.5°,十八胺含量为0.4%土样的接触角为60.2°。
1.4试验过程
把筛好的土放入105℃烘箱内烘至恒重备用。设计土样的干密度为1.5 g/cm3,含水率计算不考虑酒精溶液和肥皂水引起的液体密度变化,制样含水率为16%~18%。采用轻型击实仪制圆柱试样,试样直径为102 mm,高40 mm,试样制好后用真空饱和法进行饱和,其中,SZ1样用20%酒精溶液饱和,SZ2样用浓度为2 g/L的肥皂水饱和,其余试样均为纯水饱和,抽气时间为6 h,试样在真空下的浸泡时间为12 h。为缩短试样的脱湿时间以减小酒精挥发造成的浓度降低,饱和试样脱湿采用低温烘干法,烘箱的温度控制在50℃(小于酒精的沸点和十八胺的熔点),当2h内试样的质量变化量不超过2 g时停止试验。试验开始后,前8 h每隔30 min把试样从烘箱中取出后先称重,随后进行拍照记录,称重和拍照的时间控制在30s内,拍照结束后把试样放入烘箱继续脱湿,6 h以后拍照间隔时间增加为1 h。2试验结果2.1水分蒸发与临界含水率图5给出了不同表面张力的3种试样含水率随时间变化的关系曲线。
从图5中可以看出,随着试样干燥时间的增加,试样的含水率是不断减小的。图中条曲线均存在两个明显的变化阶段,即:常速率阶段和减速率阶段,这表明土体中孔隙液体表面张力改变并没有改变土体蒸发失水过程中含水率的变化规律。图中每条曲线都给出了一个对应的试样图像,该图像是试样干燥过程中刚出现裂隙时所对应的图像,此时试样所对应的含水率为干缩开裂的临界含水率,S1样干燥3.4 h出现裂隙,此时对应的含水率为:34.9%;SZ1样在试样干燥1.5 h后就出现了初始裂隙,此时的含水率为37%;SZ2样出现裂隙的时间明显晚于S1和SZ1样,为5 h,对应的含水率为21.2%。图6则是不同接触角的3种试样含水率随时间变化的关系曲线,试样干燥过程中也出现了常速率阶段和变速率阶段,但土颗粒接触角为30.5°的SJ1样出现裂隙的时间为5.5 h,要晚于纯土试样S1。接触角为60.2°的SJ2样出现裂隙的时间在所有试样中是最晚的,为9.5h,对应的临界含水率也最小。很显然,土颗粒与孔隙水接触角的增大可以延长土体出现初始裂隙的时间。
2.2裂隙演化过程分析
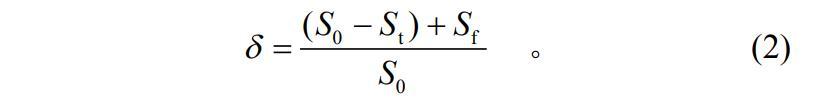
图7给出了5个试样在脱湿结束后对应的收缩开裂图像。从图中可以看出,每个试样均出现了不同程度的收缩裂隙,各试样表面裂隙最终形态具有大致相似的规律:3条裂隙相交于一点,把圆形表面分成了3个部分,S1样和SZ2样的裂隙较宽,试样开裂明显,其余试样裂隙发育不明显,裂隙在形成过程中先形成一条主裂隙,主裂隙发育过程中支裂隙开始发育,最终支裂隙和主裂隙相交形成3条裂隙。S1样和SZ1样不仅出现了裂隙,在试样和钢环接触的地方还出现了明显的分离,试样出现了体缩,其余试样也出现了不同程度的体缩,但并不明显。为得到试样的裂隙度,先要对采集到的试验开裂图片进行图像处理,如图8所示,先对采集到的膨胀土干缩过程图像进行二值化,去除一些非裂隙杂点,再把二值化图像进行矢量化,矢量化后的图像通过AUTOCAD提取试样收缩面积和裂隙面积,最后计算出试样的收缩开裂裂隙度:
(2)式中为收缩开裂裂隙度(%);S0为试样初始面积;St为脱湿时间为t的试样面积,Sf为试样表面的裂隙总面积。





