合作客户/
拜耳公司 |
同济大学 |
联合大学 |
美国保洁 |
美国强生 |
瑞士罗氏 |
相关新闻Info
-
> 液滴中心液态区表面张力法研究PTFE胶粒与NaCl混合液滴图案形成原理
> 微胶囊聚合物溶液对延展型表面活性剂界面张力的影响(一)
> 考虑界面张力、液滴尺寸和液滴变形影响的携液临界模型构建(一)
> 氨基改性硅油柔软剂的表面张力、透水率、分层测试(三)
> 不同PQAI溶液静态/动态表面张力变化及对脉动热管性能影响(二)
> 表面张力大容易润湿吗,表面张力的影响因素有哪些
> 桐油基衍生物钠盐的表面张力、CMC值测定、乳液稳定性、固化膜性能测试(二)
> 烷基糖苷柠檬酸单酯二钠盐水溶液的动态表面张力测定及影响因素(上)
> 生物表面活性剂产生菌菌体密度、细胞疏水性与发酵液pH及表面张力的关系(二)
> 两种烷基咪唑亚磷酸酯离子液体热稳定性、表面张力测定(三)
推荐新闻Info
-
> 反离子盐KBr浓度对酰胺基阳离子Gemini表面活性剂的表/界面活性的影响(二)
> 反离子盐KBr浓度对酰胺基阳离子Gemini表面活性剂的表/界面活性的影响(一)
> 典型离子型与非离子型起泡剂的界面行为对泡沫性能的影响机制
> 新无氰白铜锡电镀液及电镀方法可降低表面张力,促进镀液对复杂工件的润湿
> 一种耐超高温酸液体系、制备方法及其应用
> 纳米渗吸驱油剂种类、降低界面张力和改变润湿性的能力等机理研究(四)
> 复合驱中聚合物与阴离子表面活性剂的协同作用研究
> 化学组成对无碱铝硼硅OLED基板玻璃表面张力的影响——结果、结论
> 化学组成对无碱铝硼硅OLED基板玻璃表面张力的影响——摘要、实验方法
> 纳米渗吸驱油剂种类、降低界面张力和改变润湿性的能力等机理研究(三)
非-阴离子型醇醚磺酸盐表面活性剂降低魏岗原油的表面张力(二)
来源:精细石油化工 浏览 555 次 发布时间:2025-06-20
2.2阴离子与非离子表面活性剂混合溶液的相互作用参数
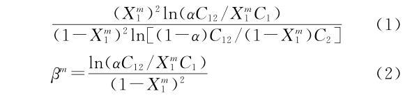
两种单一表面活性剂混合后会产生相互作用,使得表面活性剂分子在界面上排列更为紧密,表面/界面活性提高,混合胶束也更容易形成。这种相互作用的程度可以通过计算相互作用参数来确定。根据正规溶液理论,Rubingh、Rosen等给出了非理想溶液混合物胶束模型方程用以计算表面活性剂之间的相互作用参数βm。
根据单一表面活性剂以及不同混合比下的CMC,采用公式(1)~(3)计算混合表面活性剂溶液胶团热力学参数,结果见表2。图2和图3分别给出了2种表面活性剂在不同混合比下实际混合和理性混合时胶束浓度以及AEO3S在胶束中的摩尔分数的变化。
表2 AEO3S与LDA混合体系热力学参数计算
图2混合溶液中AEO3S摩尔分数对表面张力的影响
图3溶液中AEO3S摩尔分数与胶束中的摩尔分数关系
由图2可知,实际混合物的CMC比理想混合物的CMC值低,说明AEO3S与LDA的相互作用导致二元混合物的非理想行为。当混合比m(AEOS)∶m(LDA)为1∶2 ~ 4∶1时,AEOS在溶液中摩尔分数从0.23变化到0.7,相互作用参数βm在-1.2~-2.7之间变化。一般来说,βm反映了混合体系中2个表面活性剂组分在胶束中分子相互作用程度,负的程度越大,相互作用程度越强。β值的正负表明相互作用的类型,βm>0时,表示二组分之间有相互疏远、排斥的作用。βm<0时,表示混合体系内二组分之间有相互吸引作用,β绝对值的大小则反映出相互作用的程度,|βm|<3说明分子间相互作用较弱。说明分子间存在强烈的相互作用;3<|βm|<10说明分子间存在中等相互作用。由此可见,醇醚磺酸盐阴离子表面活性剂AEO3S与非离子表面活性剂LDA在盐水介质中的相互作用程度较弱。另外,二元体系产生协同作用的必须满足两个条件[17]:(1)βm<0;(2)|βm|>|ln(C1/C2)|。由表2中实验数据知AEO3S与LDA混合溶液的热力学参数均满足两个条件,说明二者具有降低CMC的协同作用。
2.3表面活性剂配比以及聚合物对界面活性的影响
采用地层模拟水配制表面活性剂溶液浓度为0.3%,实验探讨了70℃表面活性剂配比对界面张力的影响,实验结果见图4。
图4 AEO3S-LDA体系与魏岗原油的界面张力
由图4可以看出,单一表面活性剂AEO3S与LDA同魏岗原油的界面张力均在10-1mN/m数量级,当改变混合表面活性剂溶液中AEO3S与LDA质量比为2∶3时,界面张力为0.003 14 mN/m,当质量比为1∶1时界面张力为0.005 23 mN/m,也就是说含有40%~50%AEO3S的混合表面活性剂溶液的界面张力均可达到超低界面张力(10-3mN/m数量级),其他混合比时溶液的界面张力均在10-2mN/m数量级,这就表明AEO3S与LDA具有较好降低界面张力的协同作用。这是由于单一阴离子表面活性剂在油水界面排列时AEO3S分子负离子(—SO3—)基团之间存在着斥力影响了分子排列紧密程度,当加入非离子表面活性剂LDA后,LDA分子插入阴离子表面活性剂AEO3S之间,使得原来的AEO3S离子头—磺酸基团之间的电性斥力减弱,油水界面电荷密度减少,分子间排列紧密程度增加,使得油水界面张力大幅下降。
为方便后续实验的描述,将具有较高界面活性的40%AEO3S+60%LDA体系命名为LDAS驱油用复配表面活性剂。
2.4复配表面活性剂浓度对界面张力的影响
由于表面活性剂降低油水界面张力,可提高驱替相的洗油效率,而水溶性聚合物可以提高驱替流体的黏度,进而降低水油流度比,从而使驱油剂具有更大的波及体积[18-19]。因此,常常将表面活性剂与聚合物复配构成二元驱油体系用于提高石油采收率。
实验固定聚合物浓度0.12%HPAM,改变LDAS用量,70℃下测试驱油体系与原油之间的界面张力,实验结果见图5。
图5 LDAS浓度与界面张力的关系
由图5可知,无论溶液有无聚合物存在,随着复配表面活性剂LDAS浓度的增加界面张力呈现先下降而后略有增加的现象。无聚合物时,活性剂LDAS浓度在0.1%~0.4%时界面张力均处于超低界面张力范围;加入0.12%HPAM后,油水界面张力略有上升,但0.2%和0.3%LDAS溶液与魏岗原油间的界面张力仍然很低,分别为0.003 8 mN/m和0.004 5 mN/m,表明复配表面活性剂体系具有很高的界面活性。
3结论
a.醇醚磺酸盐AEO3S和月桂酸二乙醇胺(LDA)在地层水中的CMC分别为0.131和0.26 mmol/L,表面张力分别为37.3和30.25 mN/m,两者混合后溶液的CMC和表面张力均下降,表明两种表面活性剂的复配有利于降低混合溶液的临界胶束浓度和表面张力,活性提高。
b.AEO3S与LDA的复配体系在形成胶束上表现出一定协同作用,AEO3S更易于进入混合胶束中。两者质量比为1∶2和2∶3时相互作用参数最大,CMC和表面张力(γCMC)都较低。
c.以魏岗原油作为內相测试了混合表面活性剂体系的界面活性,复配体系40%~50%AEO3S+60%~50%LDA的界面张力达到10-3mN/m数量级,比单一表面活性剂的界面张力高出2个数量级,表现出良好的界面活性。
d.当m(AEO3S)∶m(LDA)=2∶3时,在0.12%HPAM存在下,0.2%~0.4%复配表面活性剂可以使油水界面张力降到超低值,可用于高凝原油的驱油。





