合作客户/
拜耳公司 |
同济大学 |
联合大学 |
美国保洁 |
美国强生 |
瑞士罗氏 |
相关新闻Info
推荐新闻Info
-
> 反离子盐KBr浓度对酰胺基阳离子Gemini表面活性剂的表/界面活性的影响(二)
> 反离子盐KBr浓度对酰胺基阳离子Gemini表面活性剂的表/界面活性的影响(一)
> 典型离子型与非离子型起泡剂的界面行为对泡沫性能的影响机制
> 新无氰白铜锡电镀液及电镀方法可降低表面张力,促进镀液对复杂工件的润湿
> 一种耐超高温酸液体系、制备方法及其应用
> 纳米渗吸驱油剂种类、降低界面张力和改变润湿性的能力等机理研究(四)
> 复合驱中聚合物与阴离子表面活性剂的协同作用研究
> 化学组成对无碱铝硼硅OLED基板玻璃表面张力的影响——结果、结论
> 化学组成对无碱铝硼硅OLED基板玻璃表面张力的影响——摘要、实验方法
> 纳米渗吸驱油剂种类、降低界面张力和改变润湿性的能力等机理研究(三)
固体、盐溶液表面张力测量及与其在洁净硅橡胶表面接触角的关系研究(一)
来源:电瓷避雷器 浏览 502 次 发布时间:2025-07-10
在实际电力系统线路运行环境中,硅橡胶表面的不同染污程度和水滴吸收污层盐分共同作用影响硅橡胶表面液滴接触角的大小。采用悬滴法测量盐溶液表面张力和理论计算法测量污层表面张力,并对比盐溶液在洁净硅橡胶表面的接触角和水在污层表面的接触角,分别分析液体表面张力和固体表面张力对液滴形态的影响规律。结果表明,对于盐溶液液滴,随着NaCl浓度增大,其表面张力增大,盐液滴在洁净硅橡胶表面的接触角增大;对于污层表面,由于盐密增大,固体表面张力增大,故即使水液滴吸收了污层中盐分使得自身表面张力增大,液滴接触角仍减小;并且在实际运行情况下,液滴接触角受污层性质的影响较大。
硅橡胶复合绝缘子具有优良的耐污闪性能,近些年硅橡胶复合绝缘子的使用数量日益增加。在中国,已有超过400万支复合绝缘子应用于输电线路上。
在染污硅橡胶表面,水分呈现的形态关系着污闪电压的大小,若水分形成连续的水膜而不是独立的水珠,绝缘子的污闪电压相对较低。国内外学者对人工污秽下的憎水性变化规律、憎水性丧失及憎水迁移性的机理等方面做出了研究。大量研究表明,硅橡胶材料的憎水性和憎水迁移性受到硅橡胶本体的配方和污层厚度等因素的影响,也会受到污秽成分和所处环境的影响。]对灰成分和憎水性迁移时间与复合绝缘子污闪特性进行研究。对比了不同盐密和灰密的污层对憎水性和憎水迁移性的影响,结果表明灰密对硅橡胶憎水迁移性的影响比盐密更明显。憎水性和憎水性迁移程度直接关系到复合绝缘子的耐污闪性能。
在实际运行环境下,绝缘子污层中的污秽成分复杂,对绝缘表面的特性造成的影响各异。不同性质的污层会影响液滴在污层表面的扩散,并且盐分被液滴吸收从而使液滴性质发生改变,因此水分在不同污层表面上呈现的形态及变化过程是复杂的。目前已有研究针对不同的污层种类和液滴的形态对憎水性和污闪电压的影响进行研究,但单独改变污层的性质无法全面地模拟出实际运行条件下水分在硅橡胶表面的呈现形态和接触角的变化过程。
由于表面张力的表征是许多生产过程和自然现象的基础,表面张力可反映液体和固体两者的性质。染污硅橡胶表面上液滴的接触角受到液滴和污层的表面张力影响,因此可测量盐溶液和污层的表面张力说明两者在液滴接触角的变化过程中的作用以及表面张力与液滴形态的关系。固体表面张力测量的主要方法有Zisman法、状态方程法、表面张力分量法等,国内朱定一等人推导出了计算固体表面张力的新方法。
笔者通过采用测量不同污层和盐溶液的表面张力,并测量纯水在污层上的接触角和盐溶液在洁净硅橡胶表面上的接触角的研究方法,从液体和固体的表面张力的角度,分别讨论了液滴在不同染污表面和液滴自身的盐分变化对接触角的影响程度,为实际运行状态下液滴接触角的表征及其变化规律提供参考。
1试验方法
1.1表面张力测试
1.1.1液体表面张力测试方法
笔者采用液体表面张力的测量方法为悬滴法,即通过测量悬挂着的液滴的外形参数而推算出液体表面张力,如图1所示。在憎水角测试仪配套的微量进样器中滴出液滴,拍摄液滴照片,读取液滴形态参数的像素值,根据测量滴管的实际尺寸和像素值,获得像素值和实际尺寸的比例,换算实际液滴的尺寸参数,并根据公式推算表面张力。
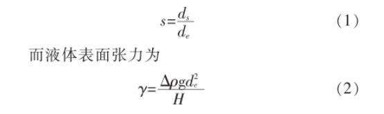
选用液滴的体积为2μL,保证液滴稳定之后,获取液滴照片。测量液滴直径d,从悬滴液最低点上方垂直距离为的位置读出纵坐标的值,在该纵坐标的位置得到液滴在该位置上的宽度ds。定义:
而液体表面张力为
式(2)中为液体和空气之间的密度差,g为重力加速度,而根据经验公式和推导证明,认为S和1/H是反应液滴形状的参数,可查表得到两者的固定关系,根据此关系将S代入表面张力计算,可以得到液体表面张力。
图1液体表面张力测量示意图
当实验室温度为22℃时,de为1.44 mm,ds为0.57 mm,用悬滴法测量水的表面张力为72.02 mN/m,由于纯水在22℃下的表面张力为72.44 mN/m,可验证悬滴法在本研究中的有效性。
1.1.2固体表面张力测试方法
本文采用理论计算法测量固体表面张力。理论计算法为选用两种已知表面张力的液体,测量其在被测固体表面的接触角,通过公式计算得固体表面张力γc。根据Young’s方程推导出公式:
式中:θa1表示一种液体在被测固体表面上的接触角;θa2表示另一种液体在被测固体表面上的接触角;γc为被测固体表面的表面张力;为γa1第一种滴落的液体的表面张力,γa2为第二种滴落的液体的表面张力;b为一个待定参数,消去常数b,计算固体表面张力。本文选用水和甘油作为测试固体表面张力的试品,测量不同液滴接触角,计算获得表面张力。
当实验室温度为22℃时,测量得到水在洁净硅橡胶表面的接触角为100.41°,甘油在洁净硅橡胶表面的接触角为79.22°,水的表面张力为72.02 mN/m,甘油的表面张力为59.4 mN/m,代入公式(3)算得洁净硅橡胶表面张力为31.46 mN/m。在室温下,硅橡胶材料的表面张力的大致范围为15~35 mN/m,因此该方法可满足本研究中的要求。





