合作客户/
拜耳公司 |
同济大学 |
联合大学 |
美国保洁 |
美国强生 |
瑞士罗氏 |
相关新闻Info
推荐新闻Info
-
> 反离子盐KBr浓度对酰胺基阳离子Gemini表面活性剂的表/界面活性的影响(二)
> 反离子盐KBr浓度对酰胺基阳离子Gemini表面活性剂的表/界面活性的影响(一)
> 典型离子型与非离子型起泡剂的界面行为对泡沫性能的影响机制
> 新无氰白铜锡电镀液及电镀方法可降低表面张力,促进镀液对复杂工件的润湿
> 一种耐超高温酸液体系、制备方法及其应用
> 纳米渗吸驱油剂种类、降低界面张力和改变润湿性的能力等机理研究(四)
> 复合驱中聚合物与阴离子表面活性剂的协同作用研究
> 化学组成对无碱铝硼硅OLED基板玻璃表面张力的影响——结果、结论
> 化学组成对无碱铝硼硅OLED基板玻璃表面张力的影响——摘要、实验方法
> 纳米渗吸驱油剂种类、降低界面张力和改变润湿性的能力等机理研究(三)
Delta-8临界胶束浓度对于药物在生物体内的增溶性的重要性研究——结果和讨论
来源:上海蜜桃性爱视频网站 浏览 2425 次 发布时间:2021-12-21
结果
在FaSSIF和水性缓冲液中的溶解度评估和物理化学特性。选择了一组21种上市药物和30种来自不同研究项目的罗氏化合物,因为它们在pH值为6.5的水性缓冲液和FaSSIF介质中的溶解度不同。作为标准做法,所有溶解度和表面压力剖面测量均在室温下进行,而不是在37°C下进行。尽管温度可能会影响药物溶解度、脂质聚集体分配和溶解,据报道,牛磺胆酸胶束的聚集数对温度变化相对不敏感。19该化合物组包含不同的化学性质、广泛的亲脂性,并涵盖不同类型和程度的电荷状态,包括中性、酸性、碱性和两性离子分子。表1列出了主要理化性质和溶解度数据。
表1。51种化合物的理化性质和溶解度数据;除非另有说明,否则数据按实验部分所述生成
表1。继续的
溶解度增强(SE)的范围从0.6倍到429倍,提供了广泛的动态观察范围。如图1所示,以及先前工作所预期的,8在FaSSIF中测得的药物溶解度接近或高于在水性缓冲液中获得的溶解度,导致SE值接近或高于1。此外,对于水溶性较低的化合物,FaSSIF培养基中的SE通常较高,这一较低端主要由中性和亲脂性化合物代表。在水溶性高于100μg/mL的化合物中,观察到在水和FaSSIF介质中的可比溶解度。
图1。测定了51种化合物在磷酸盐和FaSSIF缓冲液中pH值为6.5时的平衡溶解度。化合物被归类为酸(■),基地(▲),中性(×)和两性离子(●).线对应于单位线。低于检测限的值在检测限处绘制。
图2显示了SE与在pH 6.5(logD)下测定或外推的辛醇分配系数的函数关系图,在logD和溶解度增强对数之间观察到正趋势(r2=0.50)。具有logD的化合物范围为−3到2显示没有硒,而具有高亲脂性(logD>4)的化合物显示出持续显着的硒增加(>10倍)。对于亲脂性值介于2和4之间的化合物,观察到亲脂性与对数SE之间的相关性较差(r2=0.24),这表明仅对数D不足以解释和预测该亲脂性范围内化合物的SE(图5B)。
图2。在pH值为6.5时,51种化合物的溶解度增强(SE=S_-FaSSIF/S_-水溶液)是辛醇/水分配系数的函数。化合物被归类为酸(■),基地(▲),中性(×)和两性离子(●).高于或低于检测限的值在检测限处绘制。
表面活性参数的测定。表面活性剂的主要参数由浓度-表面压力曲线获得。图3中描述了代表性化合物的这些参数,表2中总结了完整的数据集。
图3。(A)化合物29和(B)尼群地平的表面压力分布的代表性示例。虚线和方程描述了表面张力参数的推导过程。
将表面性质与硒的含量进行比较(图4)。在测量和推导的不同表面性质中,临界胶束浓度(CMC)与SE呈显着负相关(r2=0.79),表明化合物形成胶束的倾向性越高,其在FaSSIF中的增溶程度越高。具有低或无可测量CMC的化合物显示出接近1的一致SE值。其他表面参数,如界面面积、空气−与SE相比,水分配系数和两亲性显示出趋势,但不如CMC显着。
讨论
低溶解度常常限制口服药物的吸收。随着药物研究项目逐渐向更大、更亲油性的化合物转移,转化为溶解度更低的实体,这种效应变得越来越重要。20使用肠道生物相关介质(如FeSSIF和FaSSIF)中的溶解度数据以及基于生理学的建模方法,可以更好地预测吸收程度。3众所周知,这些介质有助于增强化合物的增溶作用;然而,这种增强溶解度的分子驱动因素仍然知之甚少。
考虑到肠道生物相关介质易于形成超分子排列,如脂质体和胶束,6这导致蜜桃性爱视频网站假设化合物的表面活性剂性质可能与其在此类环境中的溶解能力有关。研究了生物相关培养基的表面性质;21然而,很少关注增溶化合物的固有表面活性剂性质。事实上,在胶束体系中的增溶作用可能是通过化合物与介质中的胶束结合来实现的。因此,化合物形成胶束的趋势可以作为确定增溶程度的相关属性。
根据这一工作假设,蜜桃性爱视频网站对一组不同的公共和专利化合物的表面活性剂性质进行了表征,目的是将这些表面活性参数与FaSSIF中相对于水介质的溶解度增强程度相关联。根据经典的吉布斯空气热力学理论,通过测量表面活性剂的主要性质对化合物进行了表征−水界面。结果表明,临界胶束浓度(CMC)是影响最大的参数,与FaSSIF中观察到的溶解度增强(SE)密切相关。其他表面活性剂性质,如界面面积(as)、空气−水分配系数(Kaw)和两亲性(ΔΔGam)与SE相比也显示出一些趋势;然而,观察到的相关性不如CMC那么清楚。此外,由于as、Kaw和ΔΔGam部分依赖于CMC,因此观察到的将其与SE关联的趋势可能与CMC的影响有关。
这些结果表明,具有高倾向于自身形成胶束系统(低CMC)的化合物通过结合FaSSIF胶体排列表现出良好的溶解能力。相反,具有高或无可观察CMC(即不形成胶束)的化合物显示出可忽略的SE。这表明,将化合物整合到FaSSIF胶束结构中是增溶的先决条件,并且仅用logD表达的与非极性胶束/囊泡结构域的疏水相互作用不能解释SE。后一点的例子可以是化合物22(logd2.9;se0.6;CMC>10000μM)或甲芬那酸(logd3.0;se2.4;CMC>10000);尽管具有很高的亲脂性,但没有或限制硒的化合物,可能与它们不能在胶束中缔合有关。
以前曾使用一组参考化合物观察到,电离酸性化合物的硒通常低于电离碱。结果表明,由于与带负电荷的FaSSIF介质组分之间的静电排斥作用,离子酸在FaSSIF中的溶解度没有增加。8在目前的研究中,对于几个涵盖更广泛化学空间的专利化合物,蜜桃性爱视频网站没有发现离子化酸或碱之间硒的任何显着溶解度差异,这表明静电相互作用可能被其他因素掩盖或覆盖,如化合物的构象和亲油性。
在以前的研究中,增溶程度与该化合物的亲脂性有关。7,22尤其是,Mithani7表明存在胆盐时的增溶率直接取决于亲脂性。尽管Mithani使用的术语增溶率并不完全对应于本研究中使用的术语SE,但两者都直接相关,并且预计取决于亲脂性。有趣的是,Mithani的研究报告称,在禁食条件下,胆汁盐水平低于CMC时,溶解度的增加非常有限,随后在喂食条件下,溶解度显着增加,尤其是对于亲脂化合物。类似地,Fagerberg等人22显示,随着化合物亲脂性的增加,增溶率增加。在蜜桃性爱视频网站的工作中,覆盖了更大的化合物范围,logD与溶解度增强呈正相关。然而,蜜桃性爱视频网站的研究表明,CMC与SE的相关性好于logD(图5和图6)。特别是在检查药物中经常遇到的亲脂性范围内的化合物时(logD介于2和4之间),很明显logD不能正确预测SE,因此不能用作SE优化目的的稳健预测因子,而此亲脂性范围内的CMC提供了SE的良好描述(图5)。值得注意的是,CMC和logD似乎正相关(图6),表明SE和logD之间观察到的相关性可能反映了logD如何影响化合物的CMC。
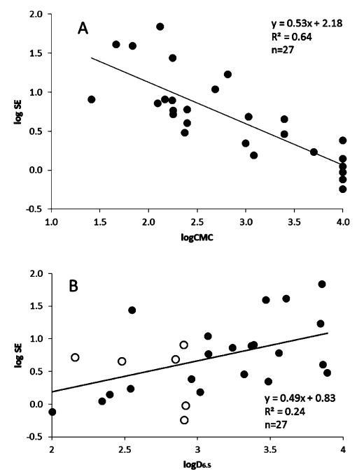
图5。根据对数CMC(μM,A)和pH 6.5下的辛醇分配系数(logD6.5;B)绘制溶解度增强曲线。数据集仅限于显示logD6的化合物。5个在2到4之间。图B中的开放圆对应于从文献检索、预测或从pH值为7.4的logD推断的logD值。高于或低于检测限的值在检测限处绘制。

图6。对于分类为酸的完整化合物组(A),根据pH 6.5(logD6.5)下的辛醇分配系数绘制对数CMC(μM)(■),基地(▲),中性离子(x)和两性离子(•),以及logd2和logd4(B)范围内的化合物。图B中的开放圆对应于从文献检索、预测或从pH值为7.4的logD推断的logD值。高于或低于检测限的值在检测限处绘制。
在药物研究项目中的化合物优化过程中,不同的化合物属性被调整,以确定提供最佳临床PK/PD和最佳安全性的可能性最高的分子。其中,溶解度是常规监测和优化的参数之一。通常,增加溶解度的选择受到生物活性所需的结构和性能要求的限制。在水溶性受到强烈限制的情况下,早期了解可提高模拟肠液中溶解度的分子特征有助于设计具有改进溶解度的分子。尽管提高SE的最直接方法是在溶解度分析(包括生物相关介质)中测试化合物,但确定或预测CMC以检验假设并指导药物化学的合成工作可能非常有用。此外,CMC(测量或预测)可能是一个有价值的描述符,用于建立新的硅模型,用于预测生物相关介质中的溶解度增强。





