合作客户/
拜耳公司 |
同济大学 |
联合大学 |
美国保洁 |
美国强生 |
瑞士罗氏 |
相关新闻Info
-
> 无碱的阴离子-非离子表面活性剂界面张力测定及驱油效率评价
> 温度、盐对辛基酚聚氧乙烯醚磺酸盐的油-水界面行为的影响(二)
> 什么是酒的挂杯现象?马兰戈尼效应
> 软包装凹印常见问题的分析及对策
> 酚胺树脂聚醚型破乳剂分子结构、浓度对油-水界面张力的影响——实验部分
> 聚氧乙烯链长度调控非离子Gemini表面活性剂的表面张力、接触角(四)
> 怎么吹出更大的泡泡?你需要懂得表面张力等知识
> 转移式微量点胶的基本原理及胶滴的转移率、铺展直径
> 膜分析仪应用:胆固醇对 hBest1/POPC 和 hBest1/SM Langmuir 单分子层的
> 棕榈酸二甘醇酰胺无碱条件下降低大庆原油/地层水界面张力——摘要、材料与方法
推荐新闻Info
-
> 反离子盐KBr浓度对酰胺基阳离子Gemini表面活性剂的表/界面活性的影响(二)
> 反离子盐KBr浓度对酰胺基阳离子Gemini表面活性剂的表/界面活性的影响(一)
> 典型离子型与非离子型起泡剂的界面行为对泡沫性能的影响机制
> 新无氰白铜锡电镀液及电镀方法可降低表面张力,促进镀液对复杂工件的润湿
> 一种耐超高温酸液体系、制备方法及其应用
> 纳米渗吸驱油剂种类、降低界面张力和改变润湿性的能力等机理研究(四)
> 复合驱中聚合物与阴离子表面活性剂的协同作用研究
> 化学组成对无碱铝硼硅OLED基板玻璃表面张力的影响——结果、结论
> 化学组成对无碱铝硼硅OLED基板玻璃表面张力的影响——摘要、实验方法
> 纳米渗吸驱油剂种类、降低界面张力和改变润湿性的能力等机理研究(三)
泡沫的微观结构及演变动力学
来源:知乎阿黄sweetgirl 浏览 2284 次 发布时间:2022-06-17
前面有一篇短文中介绍了水中的自由气泡的演变过程。然而,在实际生活中,蜜桃性爱视频网站见到和经常使用的却是大量气泡组成的泡沫。本文介绍一下泡沫的微观结构静力学及其演变过程分析。
泡沫一般结构如图1所示,由于浮力作用,大量的气泡漂浮在液体的表层,从上往下含有的气泡的体积分数依次减小。在泡沫的研究中,把液体体积含量极少(通常少于1%)的泡沫成为干泡沫,把含量介于1%到约30%左右的泡沫成为湿泡沫。对于气泡液体,几乎所有的气泡可以保持为球形,不用考虑气泡之间直接接触的气泡膜问题,这不属于泡沫物理学研究的范畴。如图1所示,泡沫的结构尺度跨越10个数量级,从宏观泡沫的演变规律,到微观泡沫界面的稳定机制,对于泡沫的研究横跨了物理,材料,界面化学等多个学科。
图1.不同尺度下的泡沫结构及稳定机制(Ref 1)(a)整个泡沫结构,尺度为0.01 m至1 m。(b)干泡沫的放大部分,尺度为0.1 mm至1 cm。(c)液体通道,也叫Plateau边界,尺度为1 um至0.1 mm以及肥皂泡膜,尺度为10 nm到1 um。(d)气液界面的分子层结构,尺度为0.1 nm到10 nm。e-f)气泡膜在界面静电力排斥作用即楔裂压(disjoining pressure)的作用下而稳定存在。
(1)泡沫的结构规律
图2 Plateau及其干泡沫静态结构力学三定律(Ref 1)
泡沫物理学集中于研究泡沫的结构、静力学、动态演变及排液等内容。它是一个十分古老的学科,由比利时物理学家Plateau在19世纪中叶开创(图2a)。Plateau在数十年的失明的时光里,依旧通过指导他侄子做试验,坚持研究肥皂泡薄膜的几何形态及其背后隐藏的力学规律。1873年,他和侄子把自己的实验现象和分析结果做了系统整理,以法文发表,从此把对泡沫结构的研究由定性印象推到了量化阶段,开创了泡沫物理学(Ref 2)。在泡沫静力学方面,Plateau的主要贡献在于其提出了干泡沫的静态结构力学的三定律,它是后续泡沫研究的基石:
1)膜力学平衡:肥皂膜是光滑的,它的曲率半径是处处相等的,其大小可以用Laplace方程去计算。对于2维泡沫,每条气泡边界都是圆弧的一部分(图2b);
2)边力学平衡:三个肥皂膜相互接触总是形成三条边,且任意三条边的夹角必须为120°(图2b),此时力平衡并且体系能量最低。
3)顶点力学平衡:当四条边在空间形成一个顶点时,此顶点处的四条边任意两条的夹角都为109.5°,只有这个角度才能使膜以120°角互相连接达到力平衡(图2c)。
(2)泡沫的演变
Plateau的泡沫结构力学三定律对于后续泡沫的研究具有重要的意义。它直接引出了一系列有关气泡的推论。
比如,依据Plateau第一定律,可以推出,相邻三个相互接触的气泡的三条边界上的曲率之和为零(Curvature sum rule)。其中最重要地是1952年von Neumann利用它推导出了二维泡沫的演变方程(Ref 3)。
推导二维泡沫的演变方程需要用到几何荷数(Geometry charge)的概念。下面蜜桃性爱视频网站首先介绍一下几何荷数的定义。
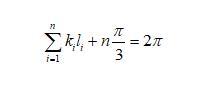
假设二维干泡沫中的任一气泡如图3b所示,气泡的边数为n,从a点开始,再回到a的边长分别标记为l1到ln,每边所对应的曲率为k1到kn(Plateau第一定律)。现在假设有一点从a点沿着边向b运动,到b点时,所走的路径为l1,转动的角度为这条边所对应的圆心角(向外为正,向内为负值),为k1*l1。此时要想继续沿着边运动,需要向内转动π/3角度(根据Plateau第二定律),如图3b所示。转动后继续运动,直到到达原来的点a。此过程,n条边总共在顶点处转动的角度为nπ/3,在边上转动的角度为
此点的运动方向变化总共为2π,可建立关系:
则几何荷数q的定义为:
图3 Von Neumann及二维干泡沫演化规律(Ref 1)
几何荷数的含义即是每边所对应的圆心角之和,其中对于气泡而言往外凸起的边为正值,往里凹下的边其圆心角为负值。几何荷数能够反应出气泡的平均凹凸程度,是对气泡平均形貌的一个表征。通过公式可以看出,边长大于6的气泡平均是凹下的,边长等于6的气泡平均是平的,而变长小于6的气泡,平均起来是凸起的,如图3c所示。
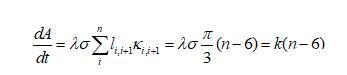
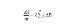
下面蜜桃性爱视频网站推导二维泡沫的演变方程,由于任一气泡跟周围气泡的气体交换都是通过气泡边界进行的,则气泡体积(二维气泡用面积表示)随时间的变化率跟边界长度和边界上的压强差都有关系,可以表示为
式中λ为气体传输系数,根据Laplace方程可得
结合上式及上面q的推导过程公式,可得
二维泡沫的演变方程表明,气泡的变化只和其边的个数有关,对于边长大于6的气泡,随着演化体积会增大,边长等于6的气泡,其体积保持不变。而对于边长小于6的气泡,其体积会逐渐变小。注意,这儿体积保持不变,不代表气泡不与外界发生气体传输,只是表示进入气泡和出去气泡的体积是相等的,总体显示体积显示不变,也不代表气泡的边界不发生移动。
Von Neumann的二维演变方程的著名及其重要性是它不单单适用于二维泡沫,凡是具有网格结构的二维体系,界面移动受界面张力调控,其速率受界面曲率调控的情形都可以用这个方程去表达。这种情形在自然界中是十分普遍的,比如如水上面油脂分子层的演化、熔化时晶界的变化、冰晶的生长等(Ref 5,Ref 6)。
自从Von Neumann推出了二维泡沫的演变方程以来,人们一直希望能推导出三维泡沫的演变方程,直到50多年后的2007年,美国叶史瓦大学MacPherson等在Nature上发表了一篇题为“把von Neumann方程拓展到三维微结构粗化的研究”(The von Neumann relation generalized to coarsening of three-dimensional microstructures)的论文,完成了对三维泡沫体系演变方程的推导(Ref 7)。之后,加利福尼亚大学的Saye等于2013年在Science上发表论文,从模拟上实现了三维泡沫的结构重排、排液、破裂等一系列过程(图4),在泡沫演变历史上具有划时代的意义(Ref 4)。至此,人们对泡沫演变的规律得到了充分的认识。
图4目前对三维干泡沫演变的模拟研究65
Ref 1:I.Cantat,S.et al.Foams:Structure and Dynamics.Oxford University Press,Oxford,(20
Ref 1:I.Cantat,S.et al.Foams:Structure and Dynamics.Oxford University Press,Oxford,(2013).
Ref2:孙其诚&谭靓慧.泡沫物理学史拾萃.物理37,473-481(2008).
Ref3:Neumann,J.v.in Metal Interfaces(ed.Herring,C.),108-110(Americal Society for Metals,Cleveland,1952).
Ref 4:Saye,R.I.&Sethian,a.J.A.Multiscale Modeling of Membrane Rearrangement,Drainage,and Rupture in Evolving Foams.Science 340,720(2013).
Ref 5:Stavans,J.The evolution of cellular structures.Rep.Prog.Phys.56,733-789(1993).
Ref 6 Glazier,J.A.&Weaire,D.the kinetics of cellular patterns.J.Phys.:Condens.Matter 4,1867-1894(1992).
Ref 7:MacPherson,R.D.&Srolovitz,D.J.The von Neumann relation generalized to coarsening of three-dimensional microstructures.Nature 446,1053-1055(2007).
注:本文节选自本人博士毕业论文前言部分。





