合作客户/
拜耳公司 |
同济大学 |
联合大学 |
美国保洁 |
美国强生 |
瑞士罗氏 |
相关新闻Info
推荐新闻Info
-
> 反离子盐KBr浓度对酰胺基阳离子Gemini表面活性剂的表/界面活性的影响(二)
> 反离子盐KBr浓度对酰胺基阳离子Gemini表面活性剂的表/界面活性的影响(一)
> 典型离子型与非离子型起泡剂的界面行为对泡沫性能的影响机制
> 新无氰白铜锡电镀液及电镀方法可降低表面张力,促进镀液对复杂工件的润湿
> 一种耐超高温酸液体系、制备方法及其应用
> 纳米渗吸驱油剂种类、降低界面张力和改变润湿性的能力等机理研究(四)
> 复合驱中聚合物与阴离子表面活性剂的协同作用研究
> 化学组成对无碱铝硼硅OLED基板玻璃表面张力的影响——结果、结论
> 化学组成对无碱铝硼硅OLED基板玻璃表面张力的影响——摘要、实验方法
> 纳米渗吸驱油剂种类、降低界面张力和改变润湿性的能力等机理研究(三)
谁的表面张力更大?
来源:李传亮 浏览 1556 次 发布时间:2022-06-20
从前发过一个帖子“好大的泡泡“,帖了两张吹的比人还大的肥皂泡泡供大家娱乐消遣,并说了大泡泡的表面张力也会很大的意思。
有网友提出了不同看法,说大泡泡的表面张力不是很大,应该很小,表面张力小才容易起泡,增加表面积做功才最少。
他们的说法似乎也有道理,一个泡泡图片引发了大家的思考,是一件很好的事情。
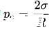
我是这样分析泡泡的受力情况的,图中的泡泡不是人吹的,而是风吹的,泡泡的内外都是空气,但里面的压力肯定比外面的压力高,二者的差值为泡泡的附加压力,也就是人们常说的毛管压力。由于风是固定的,因此附加压力的数值也是一样的。在相同的附加压力下,是大泡泡的表面张力大,还是小泡泡的表面张力大呢?
由于附加压力
,曲率半径越大,表面张力[公式]也就越大,因此,只有表面张力较大的液体才能吹成更大的泡泡。若表面张力较小,还没等吹大就破了。表面张力与固体材料的应力强度极为相似,都是破裂时的力学性质。
我没有深入研究过表面化学,一时也找不到更好的解释,请大家讨论一下吧,看谁能给出更好的答案,期待中。。。





