合作客户/
拜耳公司 |
同济大学 |
联合大学 |
美国保洁 |
美国强生 |
瑞士罗氏 |
相关新闻Info
推荐新闻Info
-
> 反离子盐KBr浓度对酰胺基阳离子Gemini表面活性剂的表/界面活性的影响(二)
> 反离子盐KBr浓度对酰胺基阳离子Gemini表面活性剂的表/界面活性的影响(一)
> 典型离子型与非离子型起泡剂的界面行为对泡沫性能的影响机制
> 新无氰白铜锡电镀液及电镀方法可降低表面张力,促进镀液对复杂工件的润湿
> 一种耐超高温酸液体系、制备方法及其应用
> 纳米渗吸驱油剂种类、降低界面张力和改变润湿性的能力等机理研究(四)
> 复合驱中聚合物与阴离子表面活性剂的协同作用研究
> 化学组成对无碱铝硼硅OLED基板玻璃表面张力的影响——结果、结论
> 化学组成对无碱铝硼硅OLED基板玻璃表面张力的影响——摘要、实验方法
> 纳米渗吸驱油剂种类、降低界面张力和改变润湿性的能力等机理研究(三)
N-月桂基-N-甲基葡萄糖酰胺【下】
来源:上海蜜桃性爱视频网站 浏览 1228 次 发布时间:2022-09-08
另一方面,在混合胶束形成过程中,含有两种表面活性剂的混合物中协同作用的存在不仅取决于它们之间相互作用的强度,还取决于二元两亲混合物中单个表面活性剂组分的相关性质[23]。因此,混合胶束形成中协同作用所需的条件是bmic 12必须为负(见上节),且βmic 12>jlnðcmc1=cmc2Þj(表2)。对于本二元混合物,这两个条件都满足。混合胶束形成中可能的协同程度通过混合表面活性剂的摩尔浓度与单个组分的摩尔浓度相比的最大降低来测量,即(cmc1)−cmc12,min)/(cmc1),其中cmc12,min是混合表面活性剂的最小cmc,由下式给出:
(cmc1)的值越大−协同程度越大。该值列于表2中,并与其他二元混合物的报告值相比较[23]。
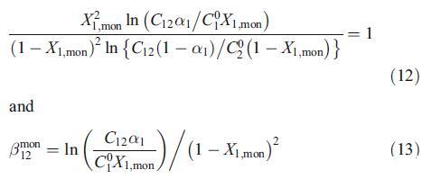
混合胶束规则溶液理论可以推广到混合单层。为了评估混合单分子层中的相互作用参数bmon 12,可以在恒定γ值下推导出混合胶束的类似方程,如下[24,25]:
其中X1,mon是界面处混合单层中阳离子表面活性剂1(即HTPB)在总表面活性剂中的摩尔分数。C01、C02和C12分别是表面活性剂1和2及其混合物在给定界面张力下的体相摩尔浓度。根据上述方程在50 mN m时评估的bmon 12值−对于本二元混合物,1为:−2.95.与bmic 12相比,表明混合胶束中的相互作用比空气-水界面更有利。HTPB和Mega-10二元混合物的单层组成(X1,mon)随αHTPB的变化如图3所示。X1,mon的值显示了与胶束组成相同的行为(X1,mic)。
表2胶束中的平均相互作用参数值,bmic 12,ln cmc1=cmc2 jð−cmc12,min)/(cmc1),以及根据Maeda方法的HTPB+Mega-10表面活性剂二元混合物的相互作用参数
为了补充混合胶束分析的稳定性,蜜桃性爱视频网站还使用了Maeda的方法,该方法还考虑了混合胶束中的疏水链-链相互作用,特别是当链长度不同时[21]。简言之,根据Maeda的模型,离子物种向非离子胶束的转移包括两种不同的贡献:极性头部基团之间的相互作用和疏水链之间的相互影响。当疏水链相似时,第一贡献占主导地位,然而,当疏水链长度不同时,这些链之间的相互作用变得更为主导。Maeda的方法强调,除了从规则溶液理论获得的相互作用参数之外,还有另一个参数(B1),该参数有助于在用离子单体替换非离子纯胶束中的非离子表面活性剂单体时混合胶束的稳定性。这一过程是由于组件之间的短程相互作用而产生的。在该模型中,胶束化自由能(ΔGmic)作为混合胶束中离子物种摩尔分数的函数给出如下[21,24]:
其中B0是与非离子组分(C1)的cmc相关的独立项,由下式给出:
B2是正规溶液理论中bmic 12的类似物,如下所示:
B1和B2与纯系统的cmc值相关:
通过使用等式16,可获得参数B2,随后可从等式17获得B1。表2显示了B0、B1和B2的值。本混合系统报告的B1值为−7.91.B1的大负值表明烃链-链相互作用对混合胶束的稳定性也起着重要作用。Maeda还报告了不同二元混合物的负和正B1值,并得出结论,链-链相互作用和头部基团的空间不相容性是这些变化的原因[21]。根据等式14和表2的参数,蜜桃性爱视频网站评估了胶束形成的自由能(数据未显示)。这些评估值接近从伪相分离模型获得的值(表1)。
聚合数(Nagg)
为了评估Nagg,蜜桃性爱视频网站使用了实验部分[26]中所述的猝灭剂(CPYC)对探针(芘)的稳态荧光猝灭。该方法基于已知浓度的猝灭剂对发光探针的猝灭。已发现该探针-猝灭剂对适用于评估几种胶束系统的Nagg[3,15–17,24,27]。使用以下方程[26]分析淬火实验:
在该方程中,I1、0、I1、CQ和Cs分别表示在不存在猝灭剂的情况下,在有猝灭剂存在的情况下芘的第一振动峰的荧光强度、总猝灭剂浓度和总表面活性剂浓度。图4显示了HTPB/Mega-10系统作为αHTPB函数的猝灭图。图4中的实线表示具有相关系数的等式18的最佳拟合≥在所有猝灭图中,蜜桃性爱视频网站获得了线性行为。根据猝灭曲线的斜率(图4)和cmc值,蜜桃性爱视频网站评估了Nagg值以及各组分N1、agg、N2、agg的部分贡献,以及理想Nid-agg值,如图5所示。部分贡献是混合聚集数和胶束组成的乘积。理想行为由以下方程估算[28,29]:
纯表面活性剂的Nagg与报告值一致[17]。图5显示了混合聚合数与理想值的正偏差。在图5中,蜜桃性爱视频网站观察到加入离子表面活性剂后,混合胶束的聚集数显着减少,αHTPB=0.55,之后保持恒定并接近离子胶束的聚合数。这种行为可以通过考虑胶束中表面活性剂的离子头基团之间的静电相互作用来解释。随着离子物种的加入增加,静电排斥也增加,导致静电自由能增加。这种效应应导致表面活性剂的每头基团的面积增加,其结果是聚集数减少。根据荧光猝灭数据,还可以根据以下关系式[24]评估斯特恩-沃默(KSV)常数,该常数反映荧光团对猝灭剂的可接近性:
图4是ln I1的曲线图;0 I1与CQ/mol dm−3.对于HTPB+Mega-10混合体系,在不同α
KSV值根据公式20(数据未显示)的斜率进行评估,如图6所示。图6显示KSV的值随着HTPB成分含量的增加而降低,反映出荧光团变得更难接近猝灭剂。据报道,随着阳离子gemini表面活性剂摩尔组成的增加,KSV降低[24]。
图6 HTPB+Mega-10混合系统的KSV与αHTPB的关系图
微极性
微极性研究提供了关于芘溶解的胶束状态下芘探针的局部环境的信息[30]。这是通过监测12 mM表面活性剂总浓度下的I1/I3比实现的,该浓度高于不同αHTPB下的cmc。I1/I3的值反映了环境的极性,即,较高的值显示较高的极性。因此,该参数可用于监测胶束区域水合作用引起的局部极性变化。
图7 HTPB+Mega-10混合体系中芘荧光强度的I1/I3比与αHTPB的关系图
I1/I3的值如图7所示。观察到纯Mega-10胶束的极性小于HTPB胶束,表明Mega-10胶团的栅栏层对水的可达性小于HTPB胶束。可以看出,随着α-HTPB的增加,I1/I3比系统地增加。这可能表明,随着胶束组成的变化,不同环境中驻留的芘探针可能位于胶束的中心区域。
荧光各向异性(r)
为了研究混合胶束中两种不同组分的行为,蜜桃性爱视频网站还使用罗丹明B作为荧光探针进行了偏振荧光测量。该探针在胶束介质中已经得到了很好的表征[31]。探针荧光发射的去极化程度是激发态寿命期间其旋转扩散的量度。荧光各向异性(r)通过Perrin方程与探针周围的粘度相关,如下[32]:
图8 HTPB+Mega-10混合体系的荧光各向异性r与αHTPB的关系图
其中r0是在没有旋转自由度的情况下获得的发射各向异性的极限值,k是玻耳兹曼常数,T是温度,τ是荧光团激发态的平均寿命,V是探针的有效分子体积,η是探针周围的粘度。从等式21可以清楚地看出,较高的r值对应于较高的刚度,反之亦然。荧光各向异性的观察值如图8所示。图8清楚地表明,纯HTPB的胶束比Mega-10的胶束具有更高的刚性。这种行为可以通过胶束中表面活性剂分子的堆积排列来解释,表明离子胶束中的堆积更紧密。这种行为可以解释为HTPB极性头基团的鏻离子上存在三苯基,这可能负责为胶束提供刚性。蜜桃性爱视频网站观察到r值从αHTPB=0.2瞬时增加到αHTPB=0.4,在αHTPB增加后,r值保持增加,但以稳定的方式增加。r值的快速增加可能表明由于刚性混合胶束结构的形成,探针RB经历了更粘性的环境。然而,r值的总体增加应解释为,随着离子组分参与的增加,胶束界面的微粘度增加。HTPB/Mega-10混合体系r值的增加与从Mega-10HTAB/HPyBr二元混合物中获得的结果形成对比(未公开数据)。
结论
本研究探讨了HTPB和Mega-10混合体系的界面和胶束物理化学性质。表面活性剂的表面过量值随着水溶液中离子表面活性剂组成的增加而降低。这种行为对应于离子表面活性剂之间的静电排斥和界面处热运动的存在。讨论了混合胶束的cmc稳定性,并观察到HTPB/Mega-10混合体系的理想行为负偏差,表明混合胶束形成是由于协同效应。混合胶束(bmic 12)和混合单层(bmon 12)中的相互作用参数为负,表明表面活性剂在界面和胶束中具有吸引性相互作用,然而,bmic 12比bmon 12稍微有利。混合单层组成(X1,mon)和混合胶束组成(X1、mic)在各种αHTPB下显示几乎相同的值。由Maeda方法获得的负B1值表明,在混合胶束形成中存在有利的短程吸引相互作用。胶束聚集数随α-HTPB的增加而减少。这种行为归因于离子表面活性剂在混合胶束中的较高参与度,并导致离子组分之间的静电排斥。
微极性数据表明,通过改变离子表面活性剂的摩尔分数,芘在胶束中处于不同的局部环境中。荧光各向异性结果表明,随着离子组成的增加,存在刚性和有序的胶束结构。
致谢
P、美国感谢日本科学促进会(JSPS)颁发博士后奖。蜜桃性爱视频网站感谢日本大阪市大阪城市大学化学系H.Tsukube教授的稳态荧光测量。蜜桃性爱视频网站还感谢日本大阪市大阪城市大学生物应用化学系T.长崎博士的荧光各向异性测量。





