合作客户/
拜耳公司 |
同济大学 |
联合大学 |
美国保洁 |
美国强生 |
瑞士罗氏 |
相关新闻Info
推荐新闻Info
-
> 反离子盐KBr浓度对酰胺基阳离子Gemini表面活性剂的表/界面活性的影响(二)
> 反离子盐KBr浓度对酰胺基阳离子Gemini表面活性剂的表/界面活性的影响(一)
> 典型离子型与非离子型起泡剂的界面行为对泡沫性能的影响机制
> 新无氰白铜锡电镀液及电镀方法可降低表面张力,促进镀液对复杂工件的润湿
> 一种耐超高温酸液体系、制备方法及其应用
> 纳米渗吸驱油剂种类、降低界面张力和改变润湿性的能力等机理研究(四)
> 复合驱中聚合物与阴离子表面活性剂的协同作用研究
> 化学组成对无碱铝硼硅OLED基板玻璃表面张力的影响——结果、结论
> 化学组成对无碱铝硼硅OLED基板玻璃表面张力的影响——摘要、实验方法
> 纳米渗吸驱油剂种类、降低界面张力和改变润湿性的能力等机理研究(三)
快速理解表面张力及其应用(干活)
来源:品质人生质量之声 浏览 2540 次 发布时间:2022-12-13
表面张力这个物理特性,在实际工艺应用中常常遇到,涉及到过程质量控制的产生机理,作为质量人也不得不了解其产生机理和识别以及控制方法,既物理自然规律,是无法消除的,蜜桃性爱视频网站只能利用这个自然规律和物理特性,为蜜桃性爱视频网站过程质量所用,不给过程质量添乱,特别是在表面处理制程中,需要特别留意。下面是通过各方搜集整理汇总而成,作为学习记录分享给各位朋友,希望同样也对你有帮助,如有遗漏和错误之处,欢迎指出。
蜜桃性爱视频网站先来了解一下表面张力的基本常识,不过您也可以通过搜索引擎搜到更多更详细的科普信息,下面还是累述一遍,仅仅分享给大家表面张力的基本知识。
关于表面张力:
多相体系中相之间存在着界面。习惯上人们仅将气---液,气---固界面称为表面。
通常,由于环境不同,处于界面的分子与处于相本体内的分子所受力是不同的。在水内部的一个水分子受到周围水分子的作用力的合力为零,但在表面的一个水分子却不如此。因上层空间气相分子对它的吸引力小于内部液相分子对它的吸引力,所以该分子所受合力不等于零,其合力方向垂直指向液体内部,结果导致液体表面具有自动缩小的趋势,这种收缩力称为表面张力。将水分散成雾滴,即扩大其表面,有许多内部水分子移到表面,就必须克服这种力对体系做功——表面功。显然这样的分散体系便储存着较多的表面能。
表面张力是物质的特性,其大小与温度和界面两相物质的性质有关。
在293K下水的表面张力为72.75×10-3 N·m-1,乙醇为22.32×10-3 N·m-1,正丁醇为24.6×10-3N·m-1,而水-正丁醇(4.1‰)的界面张力为34×10-3 N·m-1。
凡作用于液体表面,使液体表面积缩小的力,称为液体表面张力。它产生的原因是液体跟气体接触的表面存在一个薄层,叫做表面层,表面层里的分子比液体内部稀疏,分子间的距离比液体内部大一些,分子间的相互作用表现为引力。就象你要把弹簧拉开些,弹簧反而表现具有收缩的趋势。正是因为这种张力的存在,有些小昆虫才能无拘无束地在水面上行走自如。
液体表面张力的影响因素有:
1)无机液体的表面张力比有机液体的表面张力大的多;
2)水的表面张力72.8mN/m(20℃);
3)有机液体的表面张力都小于水;
4)含氮、氧等元素的有机液体的表面张力较大;
5)含F、Si的液体表面张力最小;
6)分子量大表面张力大;
7)水溶液:如果含有无机盐,表面张力比水大;含有有机物,表面张力比水小。
8)外因:温度升高表面张力减小;
9)压力和表面张力没有关系。
定义及相关:
(1)定义或解释
①促使液体表面收缩的力叫做表面张力。
②液体表面相邻两部分之间,单位长度内互相牵引的力。
(2)单位
表面张力的单位常用达因(F/m)。
(3)说明
①表面张力的方向和液面相切,并和两部分的分界线垂直,如果液面是平面,表面张力就在这个平面上。如果液面是曲面,表面张力就在这个曲面的切面上。
②表面张力是分子力的一种表现。它发生在液体和气体接触时的边界部分。是由于表面层的液体分子处于特殊情况决定的。液体内部的分子和分子间几乎是紧挨着的,分子间经常保持平衡距离,稍远一些就相吸,稍近一些就相斥,这就决定了液体分子不像气体分子那样可以无限扩散,而只能在平衡位置附近振动和旋转。
在液体表面附近的分子由于只显著受到液体内侧分子的作用,受力不均,使速度较大的分子很容易冲出液面,成为蒸汽,结果在液体表面层(跟气体接触的液体薄层)的分子分布比内部分子分布来得稀疏。相对于液体内部分子的分布来说,它们处在特殊的情况中。
表面层分子间的斥力随它们彼此间的距离增大而减小,在这个特殊层中分子间的引力作用占优势。因此,如果在液体表面上任意划一条分界线MN把液面分成a、b两部分,这种表面层中任何两部分的相互牵引力,促使了液体表面层具有收缩的趋势,由于表面张力的作用,液体表面总是趋向于尽可能缩小,因此空气中的小液滴往往呈圆球形状。
③表面张力F的大小跟分界线MN的长度成正比。可写成F=σL或σ=F/L。
比值σ叫做表面张力系数,它的单位常用dyn/cm。在数值上表面张力系数就等于液体表面相邻两部分间单位长度的相互牵引力。
表面张力在自然界中:
在自然界中,蜜桃性爱视频网站可以看到很多表面张力的现象和对张力的运用。比如,露水总是尽可能的呈球型(题图),而某些昆虫则利用表面张力可以漂浮在水面上。
在蜜桃性爱视频网站的生活中,有许多地方都体现出液体的表面张力:
表面张力的实验:这个实验,也可以说是一个关于表面张力的小游戏。先找一个朋友和你一起来进行这个游戏,然后准备一杯水(把水加到杯子的边缘处,目视水至杯口齐平处),16枚1元的硬币(也可以更多)。然后是这个游戏的规则,和朋友每人一次向杯子里轮流投放硬币,每次投放硬币数没有限制,可以一次放进1枚,可以2或3枚,或者更多,直到谁先把水溢出杯子为止。投放硬币的时候用拇指和食指捏住硬币轻轻的放进盛满水的杯子。本人最多一次投放了16枚1元硬币。呵呵,好的大家去试试吧。
来试试另外几个游戏,看看表面张力是个啥样子的。
入几枚1元的硬币,前提是保证水不会溢出来。
在一杯装满水的杯子内能漂浮几枚1角的硬币?
3.回形针能浮在水面上吗?
水黾在水面运动,既不会划破水面,也不会浸湿自己的腿。它在水面上每秒钟可滑行100倍于身体长度的距离,这相当于一位身高1.8米的人以每小时400英里的速度游泳。
如何理解表面张力?
这是来自知乎的一段文章,介绍表面张力比较清楚,摘下汇总在一起记录下来。
作者:Type transient来源:知乎(著作权归作者所有。商业转载请联系作者获得授权,非商业转载请注明出处。)
表面张力存在于,比如非常小的细管内的毛细现象,比如肥皂泡以及涉及液体与固体之间的浸润与非浸润的情况等,来一一说明
1.在温度一定时,不同液体的表面张力会不同
比如下面表格在10摄氏度时不同液体的表面张力差异很大
2.同种液体,在不同温度时表面张力会不同
比如下面表格温度越低表面张力越大
3.表面张力的测量往往选取最大值
由于距离不同表现出的表面张力也不同,因此测量往往取最大值,也就是右方图中的Fmax
4.接触角
在在三种介质的边界面相交于一点的情形中,接触线受到三个不同边界面的表面张力,为了维持平衡,表面张力的合力在这些方向上的分量必须等于零,这就要求三个边界面交成一定的角度。
由于接触角的不同和浸润与非浸润的情况就可以解释题主所说的完全不同的水滴效果
常见的有下图三种情况
当角度>160度时就出现了莲花效应(lotus effect)
表面张力的行业应用举例
1.表面張力與塗佈
塗佈製程的主要問題,基本上即是在討論固體基材與液體塗膜間的各種表/界面性質,以下是一些常見的"表面張力和塗佈"相關的現象及問題:
1).對流問題(Benard Convection Cell):
在塗佈後,由於塗料中的溶劑揮發而了產生溫度差;同時表面及底層的溶劑含量也差生濃度差,因此產生了表面張力的梯度及對流的現象,塗料液體由低表面張力的底部流向高表面張力的表層。
2).厚邊(Fat edge):
在塗佈後,由於塗料的邊緣其溶劑揮發的速率相對較內部快,因此造成低表面張力區的塗料流向邊緣而堆積,使邊緣過厚的現象。
3).凹陷及針孔(Craters and Pinholes):
由於在塗佈過程中受到較低表面張力的物體(如:油滴、灰塵等)污染,而使污染物周圍的塗料流向較高表面張力的方向,形成了像火山口的凹陷(Craters)。如果污染物是在塗佈之前即存在於基材上,則會形成更嚴重的針孔(Pinholes)。
2.表面張力與電鍍
於各種電鍍製程中,電鍍液或化學液的潤濕性及品質,往往會決定電鍍後表面鍍層的均勻與否及附著力的好壞;尤其在做精密的物件的電鍍時,若電鍍液的表面張力太高、潤濕性不好,則無法充分的潤濕進入微細的孔隙中,或因潤濕性差而造成電鍍液中的離子無法做有效的交換,便會造成部份的區域沒鍍好或附著性差。
而電鍍液的潤濕性是可由液體的表面張力來做控制及分析,由表面張力的理論得知,若電鍍液的表面張力愈小,表示電鍍液的內聚力愈小、愈容易滲入細小的縫隙裡面、也愈容易於被鍍物表面潤濕讓金屬離子鍍上去。因此為了使電鍍液的表面張力降低或是增加電鍍後的品質,通常於電鍍液中會加入有機添加劑(光澤劑,結構改良劑,潤濕劑..等),其中潤濕劑即是在使鍍液表面張力降低的作用。然而當這類界面活性劑添加超過CMC點後,表面張力即不再改變(如下圖)。此時過量的添加不但沒達到效果反而增加了生產成本。因此CMC點便可作為電鍍液的監控標準值,來決定何時添加及添加的量。
不論是在學術研究及工業的製程上,表面張力所導致的各種問題及相關性質,早已被廣泛的提出及探討,隨著科學及工業的進步,各種新的材料及新的製程更不斷地出現,於此同時也衍生出新的且更複雜的表/界面問題,因此如何有效地應用並控制表面張力這材料的基本性質,將持續會是一個重要的課題。
液体表面张力的测定方法
液体表面张力的测定方法分静力学法和动力学法。静力学法有毛细管上升法、du Noüy环法、Wilhelmy盘法、旋滴法、悬滴法、滴体积法、最大气泡压力法;动力学法有震荡射流法、毛细管波法。其中毛细管上升法和最大气泡压力法不能用来测液-液界面张力。Wilhelmy盘法,最大气泡压力法,震荡射流法,毛细管波法可以用来测定动态表面张力。由于动力学法本身较复杂,测试精度不高,而先前的数据采集与处理手段都不够先进,致使此类测定方法成功应用的实例很少。因此,迄今为止,实际生产中多采用静力学测定方法。
1.毛细管上升法:
测定原理:
将一支毛细管插入液体中,液体将沿毛细管上升,升到一定高度后,毛细管内外液体将达到平衡状态,液体就不再上升了。此时,液面对液体所施加的向上的拉力与液体向下的力相等。则表面张力:γ=ρghr/(2cosθ)
式中γ为表面张力,r为毛细管的半径,h为毛细管中液面上升的高度,ρ为测量液体的密度,g为当地的重力加速度,θ为液体与管壁的接触角。
2.Wilhelmy盘法:
用铂片、云母片或显微镜盖玻片挂在扭力天平或链式天平上,测定当片的底边平行面刚好接触液面时的压力,由此得表面张力,公式为:
式中,W总为薄片与液面拉脱时的最大拉力,W片为薄片的重力,l为薄片的宽度,薄片与液体的接触的周长近似为2l,φ为薄片与液体的接触角
3.悬滴法:
悬滴法是根据在水平面上自然形成的液滴形状计算表面张力。在一定平面上,液滴形状与液体表面张力和密度有直接关系。由Laplace公式,描述在任意的一点P曲面内外压差为:
式中R1,R2为液滴的主曲率半径;z为以液滴顶点O为原点,液滴表面上P的垂直坐标;P0为顶点O处的静压力。
定义:S=ds/de
式中de为悬滴的最大直径,ds为离顶点距离为de处悬滴截面的直径
式中b为液滴顶点O处的曲率半径。此式最早是由Andreas,Hauser和Tucker[15]提出,若相对应与悬滴的S值得到的1/H为已知,即可求出表(界)面张力。应用Bashforth-Adams法,即可算出作为S的函数的1/H值。因为可采用定期摄影或测量ds/de数值随时间的变化,悬滴法可方便地用于测定表(界)面张力。
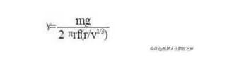
4.滴体积法
当一滴液体从毛细管滴头滴下时,液滴的重力与液滴的表面张力以及滴头的大小有关。Tate首先提出了表示液滴重力(mg)的简单关系式:mg=2πrγ,实验结果表明,实际体积比按式(7)式计算的体积小得多。因此Harkins就引入了校正因子
,则更精确的表面张力可以表示为:
其中m为液滴的质量,V为液滴体积,f为校正因子,可查表得到[16,23]。只要测出数滴液体的体积,利用(13)式就可计算出该液体的表面张力。
表面张力的质量控制
在工业生产中,金属零部件进行表面处理或喷涂前都必须保证高度清洁才不会后续的工序造成影响,为了满足这些高的清洁度要求,零件的清洗环节必不可少,且要求高效可靠。这就要求清洗剂的浓度须保持在适当的浓度范围之内,不能过高,也不能太低,过高会导致产生新的污染,生产成本升高;太低会达不到清洁的要求。只有满足这些条件才不会对后续的处理工艺造成不利影响。
PCB表面张力问题(对液体张力的反作用)
测量PCB表面的张力主要是通过便携式的测试笔,里面含有特定的张力测试液体,像是通常蜜桃性爱视频网站使用的大头油性笔似的,测试时只要轻轻在需要测试的表面画一条直线,待2-3秒钟过后,观察画的直线是否附着均匀,没有收缩成水珠状,说明达到了该测试笔设定的张力,张力的单位为达因/厘米(dyne/cm),有时又称测试笔为达因笔。具体测试笔品牌这里就不给做广告了,这个测试在市面上也很容易买到。测试的方法也比较简单,为了确定张力的范围,一般必须准备至少2只测试,一般测试的张力区间在+/-2达因/厘米之间。
PCB表面张力影响防潮剂的涂覆,出现的失效现象主要是气泡或者喷涂不均匀等问题。表面张力太小会导致防潮剂涂覆不均匀,还会出现气泡问题等问题。同时也不能过高,过高也会导致涂覆不均匀等,一般设定在36~40之间,与之相关的还有PCB涂覆的绿油,以及表面附着的有机物的多少,也影响最终PCB表面的张力。在PCB的制程控制中都要注意,以免对后续工序造成不必要的影响。





