合作客户/
拜耳公司 |
同济大学 |
联合大学 |
美国保洁 |
美国强生 |
瑞士罗氏 |
相关新闻Info
推荐新闻Info
-
> 反离子盐KBr浓度对酰胺基阳离子Gemini表面活性剂的表/界面活性的影响(二)
> 反离子盐KBr浓度对酰胺基阳离子Gemini表面活性剂的表/界面活性的影响(一)
> 典型离子型与非离子型起泡剂的界面行为对泡沫性能的影响机制
> 新无氰白铜锡电镀液及电镀方法可降低表面张力,促进镀液对复杂工件的润湿
> 一种耐超高温酸液体系、制备方法及其应用
> 纳米渗吸驱油剂种类、降低界面张力和改变润湿性的能力等机理研究(四)
> 复合驱中聚合物与阴离子表面活性剂的协同作用研究
> 化学组成对无碱铝硼硅OLED基板玻璃表面张力的影响——结果、结论
> 化学组成对无碱铝硼硅OLED基板玻璃表面张力的影响——摘要、实验方法
> 纳米渗吸驱油剂种类、降低界面张力和改变润湿性的能力等机理研究(三)
粉末涂料固化过程中的表面张力变化规律与测试方法
来源:粉末登场 浏览 2183 次 发布时间:2023-03-28
摘要:表面张力在粉末涂料的固化过程中起着至关重要的作用,关系到其对底材的浸润和附着力、涂层的表观性能及缺陷控制等。而粉末涂料在固化过程中的表面张力如何变化?可行的测试方法有哪些?目前还没发现此方面的研究报道。本文综述介绍了粉末涂料对铝合金钛锆膜底材的浸润规律和含固化剂的树脂凝胶前后表面张力的测试方法及变化规律,为下一步研究粉末涂料固化过程中表面张力的变化提供了可能的参考方法。
1、引言
界面是粉末涂料与底材最为主要的微结构,起到连接增强相和基体、传递应力等作用,复合材料的界面特性由粉末涂料与底材粘结强度的高低决定。
而获得高强度粘结的先决条件是粉末涂料对底材的良好浸润性,二者之间浸润性又与粉末涂料的表面张力密切相关。
不同类型及不同固化速度的粉末涂料混合后会导致涂膜失光、缩孔等表面缺陷,这类缺陷的产生均与涂膜的表面张力变化有关。
因此,研究粉末涂料对底材的浸润规律及固化过程中的表面张力的变化,对揭示界面形成机制和提高涂膜性能有重要的参考价值。
2、表面张力的测定
2.1悬滴法
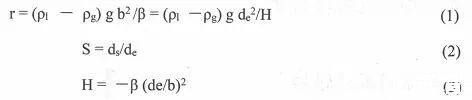
悬滴法利用选面法确定悬滴外形参数间接计算测试液体表面张力及其色散、极性分量,具有完全平衡的优点,但此方法难于保持悬滴稳定不变和防止振动,以下是其计算公式:
式中:ρ1、ρg分别为液相和气相的密度;r为液体的表面张力;de为悬滴外形的最大直径;ds是与悬滴底部顶点O的垂直距离等于de处的直径,1/H-S关系表可查。
2.2吊片法
吊片法利用打毛的铂片,测定从液体表面拖拉吊片时液体对吊片的最大拉力(即润湿张力),具有完全平衡的特点。
此方法操作简单,不需要被测液体密度数据,但需要液体很好润湿吊片,以保证接触角为零。根据平衡条件,可以得到
式中:P为吊片的周长;r为液体的表面张力;M为吊片的重量;Fb为吊片所受浮力;Fv为液体对样品施加的黏滞力。
2.3固体表面能的测定
目前,液体表面张力可直接测试得到,但固体的表面能只能利用座滴法或吊片法测试小分子液体与固体表面的接触角,再依照OWRK理论对数据进行分析计算,间接得到固体表面能。
2.3.1 OWRK理论
OWRK理论将液体的表面张力和固体的表面能分别分解为独立的色散分量和极性分量,固液两接触相间的界面张力满足如下公式:
式中:rl、rld、rlp分别为液体表面张力、液体表面张力色散分量和极性分量;rs、rsd、rsp分别为固体表面能、固体表面能色散分量和极性分量;为液体与固体的接触角。
3、粉末涂料固化过程
粉末涂料通过静电喷涂以粉末状态吸附在被涂物上面,在一定温度下经过颗粒结聚、熔融铺展及流平、固化后成膜。
将粉末涂料固化过程大致分为凝胶前和凝胶后两个阶段,凝胶前涂料体系为液体,可以通过吊片法测得体系表面张力,凝胶后体系为固体,固体的表面能利用座滴法间接测量。
3.1粉末涂料凝胶前不同时刻的接触角
研究粉末涂料对底材的浸润性,主要是通过气、液、固三相界面处的接触角的大小来表征,当θ>90°表示液体不能浸润固体表面;当θ<90°表示液体能润湿固体表面;当θ=0°即cosθ=1表示液体能完全润湿固体表面。
杨雲予等人利用接触角测量仪在恒温180℃下,拍出了不同时刻圆柱状粉末涂料在铝合金钛锆膜上的熔融和铺展过程图,并记录了的润湿角,为研究粉末涂料固化过程中,凝胶前的接触角变化提供了依据。
如图1所示,从涂料的形态上看,粉末在烘烤过程中的0~1.5min,涂料颗粒开始熔融、结聚,发生最大程度的膨胀趋势。
而从1.5~4min,涂料的体积开始逐渐收缩,在铝合金钛锆膜表面形成一层表面张力局部均匀的分子层,此时处于流平阶段,4min以后,涂料体积收缩得更小,在铝合金表面铺展程度更大,到7min,涂料达到稳态,不再发生改变。
一直到烘烤结束的这段时间,是涂料开始固化的时间,内部的环氧树脂与固化剂间发生交联固化反应,从而形成均匀且附着力良好的有机涂层。
由图2可知,环氧树脂粉末涂料在熔融铺展过程中的对钛锆膜的润湿角整体呈降低趋势,润湿角由1.5min时的136°逐步降低至流平终点的74.6°。
这说明环氧树脂粉末涂料对钛锆膜的润湿性良好,能够自发地在涂层表面进行铺展,且涂层具有良好的附着力。
3.2含固化剂树脂凝胶前的表面张力
邓锐用吊片法测试了含固化剂的氰酸酯树脂体系在恒定温度120℃下固化过程中表面张力随时间的变化规律,如下图所示。
从图3中,蜜桃性爱视频网站可以看到含固化剂的氰酸酯树脂体系在恒温温度120℃下表面张力变化关系为线性增加段和表面张力突降段。
作者认为在较长的未固化的时间段内,树脂表面张力呈线性增加,可能是由于局部官能团反应使体系相变,表面能变化较大导致的表面能增加。
而凝胶点后的树脂体系由凝胶化变为玻璃化,传统测试液体的方法已经不能测出其表面张力,因此凝胶后树脂的表面张力必须以测固体表面能的方法测得。
3.3凝胶后固体树脂表面张力的测定
马全胜利用座滴法间接测试凝胶后固态树脂的表面能,为研究粉末涂料凝胶后固态表面能测试提供了一种测试方法。
具体方法是将小分子液体滴到固体树脂表面,利用视屏方法在线测试小分子液体与树脂片之间的接触角,按照OWRK等理论对数据进行分析,计算固体的总的表面能,及其极性分量与色散分量。
表2为实验所用小分子液体的表面张力及极性、色散分量,表3为环氧618-咪唑体系70℃不同固化时刻下的树脂体系与小分子液体的接触角。
根据表3测得的接触角,经OWRK理论分析,得到环氧618一咪唑体系在70℃恒温固化不同时刻的总表面能和色散与极性分量如图4、图5所示。
从图可以看出,凝胶后环氧618一咪唑体系总表面能随固化时间的延长呈近似线性下降趋势,总表面能中,色散分量占比较大而极性分量占比较小。
色散分量除135min固化时刻为25mJ/m2外,其他时间基本稳定,而极性分量则呈现出比较明显的下降趋势。
为了更好分析树脂体系固化过程中表面能变化影响因素,作者分别对0、150、25Omin的环氧618-咪唑体系的试样进行红外光谱辅助实验。
通过实验发现羟基(3490cm-1吸收带)在固化反应25Omin时较固化反应150min时减弱,且环氧基(913cm-1吸收峰)在一定程度上也有所降低。
作者认为分子中的羟基吸收带减弱的原因是随着反应的进行,羟基参与了醚化聚合反应成链,从而导致羟基基团减少。
因此作者推断环氧618-咪唑体系固化反应120min之后表面能极性分量的降低是由于羟基关能团和环氧官能团的变化引起。
马全胜通过研究恒温固化过程中环氧树脂体系凝胶后表面能的的变化规律,结合固化机制和反应特性,分析环氧618-咪唑体系表面能的色散分量、极性分量的变化。
研究结果对掌握环氧树脂基复合材料固化过程、揭示界面形成机制具有重要意义,同时也为粉末涂料凝胶后表面张力的变化提供了研究方法。
4、结束语
表面张力在粉末涂料熔融、流平过程中及固化膜与底材的附着力方面有着重要作用,掌握固化过程中不同阶段表面张力的测试方法并获得粉末涂料固化过程中表面张力变化,对提高粉末涂料涂膜的附着力及避免固化过程涂膜表面缺陷的产生具有重要意义。





