合作客户/
拜耳公司 |
同济大学 |
联合大学 |
美国保洁 |
美国强生 |
瑞士罗氏 |
相关新闻Info
推荐新闻Info
-
> 反离子盐KBr浓度对酰胺基阳离子Gemini表面活性剂的表/界面活性的影响(二)
> 反离子盐KBr浓度对酰胺基阳离子Gemini表面活性剂的表/界面活性的影响(一)
> 典型离子型与非离子型起泡剂的界面行为对泡沫性能的影响机制
> 新无氰白铜锡电镀液及电镀方法可降低表面张力,促进镀液对复杂工件的润湿
> 一种耐超高温酸液体系、制备方法及其应用
> 纳米渗吸驱油剂种类、降低界面张力和改变润湿性的能力等机理研究(四)
> 复合驱中聚合物与阴离子表面活性剂的协同作用研究
> 化学组成对无碱铝硼硅OLED基板玻璃表面张力的影响——结果、结论
> 化学组成对无碱铝硼硅OLED基板玻璃表面张力的影响——摘要、实验方法
> 纳米渗吸驱油剂种类、降低界面张力和改变润湿性的能力等机理研究(三)
液体混合物表面张力计算公式
来源: 浏览 2269 次 发布时间:2023-06-06
液体混合物表面张力数据是过程和理论研究所必需的基础数据,对于液体混合物表面张力测定、关联和推算已成为化工和理论研究的重要课题。下面分享液体混合物表面张力计算公式。
UNIFAC模型
UNIFAC功能基团活度系数模型是UNIQUAC(Universal Quassi-Chemical)模型基团化的结果。UNIQUAC模型是Abrams和Pranusniz在1975年根据液体胞腔理论、Guggenhein的似化学方程(quasi-chemical equation)并结合Wilson局部组成概念发展而成。它是基团贡献法的成就之一,它的基本思想是把混合物种组分的活度系数与组分之间的能量相互作用参数联系起来,当使用这些参数推算在远离临街条件下非电解质液体混合物的活度系数时,除系统温度和压力外仅需知道混合物中各组分的分子结构和必要的集团参数,并不需要有关联特定的混合物的实验数据。
Butler方程
大多数关于液体混合物表面张力的描述都是建立在将液体表面层看作是一个气液相之间的独立的体系的假设之上的,基于这一假设,结合经典热力学理论,可导出关于液体混合物表面张力的计算公式Bulter首先于1932年从热力学理论出发,导出液体混合物表面张力的理论公式:
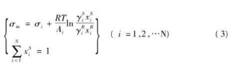
式中σm代表液体混合物表面张力,σi是纯组分i的表面张力,Ai和分别为组分的摩尔表面积,和分别是组分表面相和体相中的活度,R为气体常数,T是体系的绝对温度,N为体系的组分数。为了使UNIFAC模型与Buttler方程相结合,实现UNIFAC基团贡献法对液体混合物表面张力的推算,本文利用两个基本假设:
式中Vi是纯组分i的液体摩尔体积,N为Avogadro常数(6.023×1023)。
从假设(1)可得到如下方程组:
计算结果显示采用此方法对液液体系的表面张力的推算改进不明显。误差原因:1)偏摩尔表面积;2)数据来源使用的是通过气液数据进行回归参数,如果采用写体混合物表面张力的实验数据进行回归效果会好;3)计算的体系较少。





