合作客户/
拜耳公司 |
同济大学 |
联合大学 |
美国保洁 |
美国强生 |
瑞士罗氏 |
相关新闻Info
推荐新闻Info
-
> 反离子盐KBr浓度对酰胺基阳离子Gemini表面活性剂的表/界面活性的影响(二)
> 反离子盐KBr浓度对酰胺基阳离子Gemini表面活性剂的表/界面活性的影响(一)
> 典型离子型与非离子型起泡剂的界面行为对泡沫性能的影响机制
> 新无氰白铜锡电镀液及电镀方法可降低表面张力,促进镀液对复杂工件的润湿
> 一种耐超高温酸液体系、制备方法及其应用
> 纳米渗吸驱油剂种类、降低界面张力和改变润湿性的能力等机理研究(四)
> 复合驱中聚合物与阴离子表面活性剂的协同作用研究
> 化学组成对无碱铝硼硅OLED基板玻璃表面张力的影响——结果、结论
> 化学组成对无碱铝硼硅OLED基板玻璃表面张力的影响——摘要、实验方法
> 纳米渗吸驱油剂种类、降低界面张力和改变润湿性的能力等机理研究(三)
覆盖有疏水网的开放管道液体输运稳定性研究(上)
来源:光学精密工程 浏览 193 次 发布时间:2025-09-17
摘要:考虑完全开放的微管道中液体输运不稳定,不利于生物气溶胶采样和监测的自动化集成,本文提出了用覆盖有疏水网的开放微管道来实现液体的可靠输运。通过理论分析得到了该微管道液体输运特性的估计公式,并用水作为试验介质对其输运特性进行了实验分析。分析实验显示,开放微管道中液体输运的稳定性依赖于栅网特性、液体性质和流动速度、管道尺寸和表面特性。栅网表面疏水性越好,孔径越小,微管道中液体的最大许可压强就越大,液体输运就会越稳定。对于孔径50μm、表面涂覆有Teflon的栅网,最大许可压强可达2000Pa。管道中的最大许可流速取决于管道尺寸和最大许可压强;对于较浅、较长的管道,最大许可流速较小。当液体流过干的疏水管道时,液体的表面张力会阻碍流动,管道截面尺寸越小,表面张力的阻碍效果越明显。
1引言
越来越多的研究表明,接触生物气溶胶会给身体带来一系列的不良反应,严重的甚至可能危及生命,所以,在工作场所和家庭中实时监测空气中的生物气溶胶状况十分必要。为了实现对气溶胶的实时监测,对其进行高效采集是基础目前已开发出多种生物气溶胶采样方法,包括过滤、固体撞击、液体冲击和静电沉积等。为了实现实时和自动化检测,可采用以液体为采样介质的气溶胶到水溶胶采样的技术。
在气溶胶采样过程中,为了将空气中的生物质采集到液体中,需要使用开放的管道。开放管道或表面的液体输运可以利用重力、热梯度驱动、电润湿等方法。Han等人利用静电沉积将微生物收集到干燥的疏水凹槽中,然后倾斜基底,让一个液滴在重力作用下滚过疏水凹槽,从而将微生物转移到液滴中,实现气溶胶到水溶胶的采样;但这种采样方法操作繁琐,不利于采样、检测的自动化集成,且在长时间采样中干燥表面会影响微生物的活性。文献介绍了利用静电力将微生物收集到开放的储液池中,然后采用微泵将液体输出进行后续检测的方法;这种储液池有利于保持微生物活性,但是完全开放的结构很不稳定,要求芯片在工作中必须平稳放置,否则采样液体很容易溢出。Amar等人利用热梯度驱动悬浮在油薄膜中的液滴,铺展油膜的基底不需要进行图形化处理,但是这种方法需要在液滴运行路径铺满油膜,且需要可移动的热源。文献将正负电极制作在一片基底上,利用介质上电润湿效应实现了开放表面的液滴输运;但电润湿需要复杂的电极阵列,增加了芯片复杂程度,且这些电极可能会影响气溶胶静电收集芯片的电场分布。
Meng等人在用于微流体芯片的排气结构中,制作了疏水孔用于气体排出,同时可以防止液体溢出。其第一代排气结构是在硅片上制作孔径为50μm的通孔,并利用Teflon制作疏水涂层,文中没有实测的最大许可背压,也没有讨论其输运特性,且这种结构加工成本高。其第二代排气结构利用聚丙烯疏水多孔膜覆盖沟道,测得的最大许可背压达2.4x10⁵Pa,但并无对其输运特性的讨论,而且这种疏水膜孔径不到3μm,且不是直通孔,无法用于气溶胶采集。本文面向气溶胶采样,通过在开放管道表面覆盖疏水网,实现了可靠的液体输运,并对其液体输运特性进行了理论和实验分析。
2开放管道设计
2.1开放管道原理
气溶胶到水溶胶的采样,一方面要求管道是开放的,以保证空气中的生物质能够进入液体;另一方面为了避免液体在流动过程中外泄,管道必须封闭。本文设计了一种开放的管道,其顶部开放面覆盖有疏水栅网,如图1所示。疏水栅网孔中的水在表面张力的作用下会形成一个弯月面,阻止水从栅网孔中流出。这样空气中的生物质就能通过栅网孔进入管道,同时管道中的液体可以稳定流动而不会外溢。
为了实现液体的可靠输运,管道中液体的最大压强必须小于疏水网的最大许可压强。最大许可压强取决于疏水网表面特性和液体性质。而管道中液体的最大压强由管道尺寸和管道表面特性以及液体在管道中的流动速度决定。为了表征开放管道中的液体输运特性,这里引人3个压强:最大许可压强Pb,毛细压强Pc和管道中的压降Pf。最大许可压强指栅网孔中由表面张力形成的液体弯月面所能承受的最大压差,与栅网表面特性、栅网孔径及液体表面张力系数有关。当液体流过千燥的疏水微管道时,表面张力会阻碍液体的流动,液体前端弯月面产生的压差定义为毛细压强,毛细压强与管道尺寸、表面特性及液体表面张力系数有关。此外,当液体以一定速度流过管道时,由于液体黏性导致的沿程水头损失必须予以考虑,也就是管道中的压降Pf。
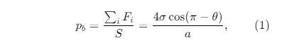
2.2估算最大许可压强Pb
根据液体表面张力理论,对于一个有方孔的栅网,Pb可以按照下式计算:
其中:sigma为液体表面张力,a为栅网方孔的边长,theta为液体对于栅网的接触角。计算中假设水温为20^{circ}C,此时水的表面张力系数sigma=0.0728~N/m(后面计算中都采用此参数)。最大许可压强Pb和孔边长的关系如图2所示,可以看到采用疏水性好、网孔小的栅网可以得到更大的Pb。





