合作客户/
拜耳公司 |
同济大学 |
联合大学 |
美国保洁 |
美国强生 |
瑞士罗氏 |
相关新闻Info
-
> 液体表面张力方向究竟是沿着页面切线方向,还是垂直于页面指向液体内部?
> 什么是纳米气泡?纳米气泡特征及制备方法
> 人胰岛素的朗缪尔单分子层膜的表面化学和光谱学性质——结果和讨论
> 一体化生物复合乳液研制及在碳酸盐岩体积加砂压裂中的应用(一)
> 蜜桃AV免费观看应用:研究活性磁化水对无烟煤尘的湿润作用(一)
> 烟道气−稠油系统表面张力变化规律研究
> 什么叫界面?基于动态悬滴表征的界面性质精确测定方法
> 全自动蜜桃AV免费观看测定原理和使用方法【表面活性剂烷醇酰胺】
> 过硫酸钾、K2S2O8对压裂液破胶性能与表面张力的影响——结果与讨论、结论
> (Delta-8)橄榄油两性表面活性剂之间的协同作用和阴离子表面活性剂——结果和讨论、结论、致谢!
推荐新闻Info
-
> 紫檀芪的稳定性增强型抗氧化剂制作备方及界面张力测试——结果与讨论、结论
> 紫檀芪的稳定性增强型抗氧化剂制作备方及界面张力测试—— 引言、材料与方法
> 香豆素取代二乙炔LB膜的组装、聚合及螺旋结构形成机制(下)
> 香豆素取代二乙炔LB膜的组装、聚合及螺旋结构形成机制(中)
> 香豆素取代二乙炔LB膜的组装、聚合及螺旋结构形成机制(上)
> 电镀液表面张力、接触角、流速以及压强等因素对硅通孔浸润过程的影响(二)
> 电镀液表面张力、接触角、流速以及压强等因素对硅通孔浸润过程的影响(一)
> 基于界面张力仪和电位仪分析SPF减水剂结构-性能关系(二)
> 基于界面张力仪和电位仪分析SPF减水剂结构-性能关系(一)
> 气凝胶材料种类、应用领域及未来发展方向
香豆素取代二乙炔LB膜的组装、聚合及螺旋结构形成机制(下)
来源:高分子学报 浏览 15 次 发布时间:2025-11-27
3.5光聚合行为研究
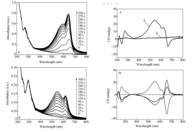
在紫外光辐照下,二乙炔单体可以通过1,4-加成聚合机理进行拓扑光聚合。二乙炔单体能否聚合取决于单体分子链间距离d和分子链与堆积轴之间的夹角,当d≈0.5nm,θ≈45°时二乙炔单体具有最大的聚合可能性。分子结构和端基相互作用对香豆素取代二乙炔单体组装体在分子以及超分子水平上有影响,使得二乙炔单体表现出不同的聚合行为,可以通过紫外吸收光谱表征。如图6所示,单体CODA和CO2DA均可以进行拓扑光聚合。
以CODA为例,随着紫外光辐照时间增加,LB膜在590和640nm处出现2个典型的聚二乙炔蓝相吸收峰,且随时间增加而逐渐增强,薄膜颜色由淡黄色变为蓝色。而对于CO2DA LB膜,随着254nm紫外光辐照时间的增加,在540和620nm处出现两个明显的吸收峰,分别对应于聚二乙炔红相和蓝相的典型吸收,薄膜颜色由淡黄色变为紫色。随着辐照时间的增加,540nm处吸收峰明显增强,聚合薄膜中聚二乙炔红相组分变多。
单体分子结构和分子间相互作用的不同使得两种香豆素取代二乙炔单体LB膜的聚合行为有很明显的差异。在CODA单体LB膜中,相邻的香豆素基团间强烈的π-π相互作用使香豆素端基有序规整排列,从而使得CODA分子的二乙炔链可以紧密的平行排列,这使得CODA分子在紫外光辐照下聚合速率很快,并且聚合成了具有较长有效共轭链长的蓝相。但是对于CO2DA单体LB膜,分子排列较松散,存在局部的缺陷,香豆素基团间无法形成紧密有序的规整排列,从而使得CO2DA分子间排列较CODA分子松散且不规整,聚合后薄膜中既存在较长有效共轭链长的蓝相聚二乙炔主链,也存在共轭链长较短的红相聚二乙炔主链。
3.6聚合后手性特征
从CODA单体LB膜的圆二色谱结果蜜桃性爱视频网站知道,香豆素端基在LB膜中形成了螺旋排列,那么这种端基螺旋排列是否会诱导聚二乙炔主链也形成相同的螺旋构象,将聚合后的LB膜(PCODA)进行圆二色谱表征。研究发现,对于CODA LB膜,聚合后香豆素基团的手性信号依然保留,而且在500~700nm范围内也出现了明显的手性信号,说明聚二乙炔主链形成了螺旋结构(如图7(A)所示)。
而对于PCODA LB膜,聚合后在500~700 nm范围内观察不到明显的CD信号,说明聚二乙炔主链未形成螺旋结构或形成的左旋和右旋螺旋结构数量相当。此现象可归因于两种香豆素取代二乙炔单体在气-液界面组装方式上的差异。在CODA单体LB膜中,相邻的香豆素基团间强烈的π-π相互作用使香豆素端基有序规整排列,从而使得CODA分子的二乙炔链可以紧密的平行排列,有利于体系对称性被打破,某一方向聚二乙炔主链螺旋结构在LB膜中占主导地位,表现出宏观手性。而CO2DA LB膜中,香豆素基团排列较松散,存在局部的缺陷,不利于聚二乙炔主链螺旋结构的形成。
同时蜜桃性爱视频网站观察发现,香豆素端基螺旋堆砌方向与聚二乙炔主链螺旋方向存在一定的关系。如图7(B)所示,CODA LB膜聚合后香豆素基团在268nm处出现负的CD信号,则聚二乙炔主链在550 nm处同样出现负的CD信号;香豆素基团在268nm处出现正的CD信号,则聚二乙炔主链在550 nm处同样出现正的CD信号。两者之间有一一对应关系。香豆素端基的螺旋排列决定了聚二乙炔主链螺旋结构形成方向。
3.7香豆素二聚化影响
香豆素基团在紫外光照条件下可发生可逆的光二聚反应:在365nm光辐照下,香豆素基团能发生光二聚反应,在254nm辐照下香豆素二聚体能可逆地发生解二聚反应。可以预见香豆素端基的二聚化将影响香豆素取代二乙炔单体在气液界面的组装,从而影响聚二乙炔主链螺旋结构的形成。蜜桃性爱视频网站用365nm紫外灯辐照CODA氯仿溶液20min,此时香豆素端基能发生二聚,而二乙炔基团不会发生聚合。将得到的CODA二聚体的氯仿溶液铺展在水面上,沉积制备LB膜,制备得到的CODA二聚体LB膜能聚合成蓝相。CD光谱测试发现香豆素基团和相应的聚二乙炔吸收带均出现了明显的CD信号,但强度较CODA LB膜均有所减弱,如图8所示。
香豆素二聚后,分子间的立体位阻不规则排列阻碍了二乙炔链的紧密平行排列,不利于聚二乙炔主链螺旋结构的形成。
4结论
设计合成了2种香豆素取代二乙炔单体,研究了柔性间隔基对香豆素取代二乙炔单体在气液界面的组装、单体LB膜的聚合以及聚二乙炔主链螺旋结构形成的影响。尽管CODA分子是非手性的,但其LB膜均表现出明显的宏观手性信号。这是由于在压缩过程中香豆素基团间强烈的π-π堆积,形成了螺旋排列,显示出超分子手性。而CO2DA LB膜中分子排列较松散,香豆素基团间无法形成紧密有序的规整排列,没有观察到明显的CD信号。经254nm紫外光辐照,CODA LB膜聚合成蓝相,聚二乙炔主链表现出明显的宏观手性。而CO2DA LB膜聚合后同时存在有效共轭链长较长的蓝相聚二乙炔主链和共轭链长较短的红相聚二乙炔主链,薄膜无明显的宏观手性。LB膜中香豆素功能基团的排列对聚二乙炔主链螺旋结构的形成有决定性的影响。
5创新点与展望
本研究通过系统比较CODA和CO2DA两种香豆素取代二乙炔单体的界面行为、聚合特性及手性形成机制,揭示了柔性间隔基在超分子组装中的重要作用。主要创新点包括:
1.首次系统研究了柔性间隔基对香豆素取代二乙炔体系手性形成的影响
2.发现了非手性分子通过界面组装产生超分子手性的新现象
3.阐明了香豆素端基排列对聚二乙炔主链螺旋结构的决定性影响
未来研究方向可进一步探索不同长度柔性间隔基的调控规律,以及手性LB膜在传感器、光学器件等领域的应用潜力。





