合作客户/
拜耳公司 |
同济大学 |
联合大学 |
美国保洁 |
美国强生 |
瑞士罗氏 |
相关新闻Info
-
> 通过3个小实验来理解水的表面张力
> 基于阴离子−非离子型表面活性剂复配最佳强化润湿高效驱油体系——实验部分
> 气溶胶固定剂PAM-b-PVTES合成路线及GPC、DSC、表面张力等性能测试(四)
> 基于表面张力系数等模拟液滴撞击热壁面的动力学行为(二)
> 不同表面张力液体的多样定向运输模式,如何实现?
> 3种反应型阳离子Gemini表面活性剂合成、表征和性能测试(上)
> 一种新表面张力改性方法让全固态电池性能更优
> 新制备的双向拉伸聚丙烯消光膜,具有高挺度、表面张力持久等优点
> 基于表面张力理论分析激光热应力弯折区形貌的影响因素及形成原因
> 新型POSS基杂化泡沫稳定剂表面张力测定及对泡沫压缩性能的影响(二)
推荐新闻Info
-
> 反离子盐KBr浓度对酰胺基阳离子Gemini表面活性剂的表/界面活性的影响(二)
> 反离子盐KBr浓度对酰胺基阳离子Gemini表面活性剂的表/界面活性的影响(一)
> 典型离子型与非离子型起泡剂的界面行为对泡沫性能的影响机制
> 新无氰白铜锡电镀液及电镀方法可降低表面张力,促进镀液对复杂工件的润湿
> 一种耐超高温酸液体系、制备方法及其应用
> 纳米渗吸驱油剂种类、降低界面张力和改变润湿性的能力等机理研究(四)
> 复合驱中聚合物与阴离子表面活性剂的协同作用研究
> 化学组成对无碱铝硼硅OLED基板玻璃表面张力的影响——结果、结论
> 化学组成对无碱铝硼硅OLED基板玻璃表面张力的影响——摘要、实验方法
> 纳米渗吸驱油剂种类、降低界面张力和改变润湿性的能力等机理研究(三)
一滴水缓慢落到非常光滑的平面上,接触面积会有多大?
来源:知乎 阿黄sweetgirl 浏览 2455 次 发布时间:2021-07-29
此问题中,其实绝对光滑不太合适,一般可以考虑原子级别的光滑就已经可以使用(或可以看做没有接触角滞后现象)。为了让解析式简便,此题转化为:
如果将体积为V的液体水滴落到原子级别光滑的光滑固体表面上,设固体表面对水的接触角为θ,那么液滴稳定后,液滴与固体之间的接触面积S有多大?
下面我仅仅使用参数V和θ,以及水的物性常数找出S的简单解析式。
首先,此题必须分为两种情形。第一种,是液体V很小时,此时表面张力占主导地位。此解法宫非前辈已经给出,但是其解析式不够简化。因此我进一步加以简化。当表面张力占主导时,液滴成完美的球缺状,如图1所示。
图1液体体积很小时,毛细作用力占主导的情形,液滴呈球形
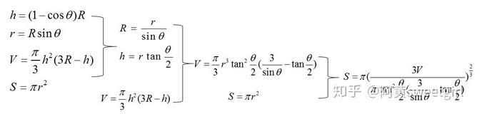
此时根据球的体积公式,以及简单的三角函数变换,就可以得出S与V和θ的关系,具体推导过程如图2所示。
图2接触面积S的推导过程
此时可以看出,S与V的2/3次方是正比例关系。对于自然界任何光滑的表面,接触角处于0到122°的范围内,可以绘出S与θ的关系,如图3所示。
图3接触面积随着接触角的变化关系
上图是接触角从5°到120°范围内的接触面积的变化关系,基本上涵盖了自然界中的大多数物质的光滑固体表面。
然后再是第二种情形,就是液体体积很大,此时表面张力很弱,重力占主导地位的场景。此时,液滴在光滑固体表面的呈现出扁平状。如图4所示。
图4液体体积很大的情形
有意思的是,已经有前人对这种情形做过详细的受力分析。得出只要接触角一定,此时无论加多少水,液体的厚度e都不会增加,只会增加铺展的面积。其厚度e的表达式为:
式中,γ为表面张力,p为密度,g为重力加速度。
由于此时,表面张力影响很小,液膜可以看成均匀的厚度,所以满足
V=Se
从而可以推出:
图5液体接触面积的推导公式。
至于具体的推导e的过程,可以见如下分析:
参考文献:Capillarity and Wetting Phenomena书籍。





