合作客户/
拜耳公司 |
同济大学 |
联合大学 |
美国保洁 |
美国强生 |
瑞士罗氏 |
相关新闻Info
-
> Delta-8食用餐食后人体内十二指肠液的组成及性质——摘要、介绍、材料和方法
> 咪唑类离子液体对不同煤尘润湿性能的影响规律(下)
> 不同温度下手性离子液体及二元混合物的密度和表面张力(上)
> 蜜桃国产成人精品区在线观看应用实例:利用火试金法测定铅精矿中银含量
> 阳-非离子复合表面活性剂体系表面张力测定及基础性能评价(二)
> 表面张力对激光空泡脉动及溃灭特性的影响(一)
> 蜜桃AV免费观看分析生物表面活性剂对菲、1-硝基萘的增溶与洗脱效果和机制
> 生物表面活性剂产生菌的筛选及对PAHs污染环境的修复效果研究(二)
> 不同船用柴油机油基础油界面性质与分水性的关系
> 拉脱法测量液体表面张力系数实验原理、缺点及改进方法
推荐新闻Info
-
> 反离子盐KBr浓度对酰胺基阳离子Gemini表面活性剂的表/界面活性的影响(二)
> 反离子盐KBr浓度对酰胺基阳离子Gemini表面活性剂的表/界面活性的影响(一)
> 典型离子型与非离子型起泡剂的界面行为对泡沫性能的影响机制
> 新无氰白铜锡电镀液及电镀方法可降低表面张力,促进镀液对复杂工件的润湿
> 一种耐超高温酸液体系、制备方法及其应用
> 纳米渗吸驱油剂种类、降低界面张力和改变润湿性的能力等机理研究(四)
> 复合驱中聚合物与阴离子表面活性剂的协同作用研究
> 化学组成对无碱铝硼硅OLED基板玻璃表面张力的影响——结果、结论
> 化学组成对无碱铝硼硅OLED基板玻璃表面张力的影响——摘要、实验方法
> 纳米渗吸驱油剂种类、降低界面张力和改变润湿性的能力等机理研究(三)
测量液体表面张力悬滴法介绍
来源:coco5517 浏览 1483 次 发布时间:2022-10-08
悬滴法
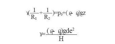
悬滴法是根据在水平面上自然形成的液滴形状计算表面张力。在一定平面上,液滴形状与液体表面张力和密度有直接关系。由Laplace公式,描述在任意的一点P曲面内外压差为:
式中R1,R2为液滴的主曲率半径;z为以液滴顶点O为原点,液滴表面上P的垂直坐标;P0为顶点O处的静压力。
定义:S=ds/de
式中de为悬滴的最大直径,ds为离顶点距离为de处悬滴截面的直径
式中b为液滴顶点O处的曲率半径。此式最早是由Andreas,Hauser和Tucker[15]提出,若相对应与悬滴的S值得到的1/H为已知,即可求出表(界)面张力。应用Bashforth-Adams法,即可算出作为S的函数的1/H值。因为可采用定期摄影或测量ds/de数值随时间的变化,悬滴法可方便地用于测定表(界)面张力。





