合作客户/
拜耳公司 |
同济大学 |
联合大学 |
美国保洁 |
美国强生 |
瑞士罗氏 |
相关新闻Info
-
> pH对马来松香MPA与纳米Al2O3颗粒形成的Pickering乳液类型、表/界面张力影响(二)
> 克拉玛依油田:阴阳离子表面活性剂复配体系可实现超低界面张力
> 双季铵基邻苯二甲酸酯基表面活性剂SHZ16和SHZ14表面张力等性能对比(一)
> 电化学氧化对液态金属表面张力的影响机制:表面张力可随电位变化
> 表面张力对激光空泡脉动及溃灭特性的影响(一)
> 纯聚苯胺LB膜和聚苯胺与乙酸混合的LB膜制备、NO₂气体敏感特性研究(下)
> 甜菜碱类表面活性剂的矿化度对界面张力影响有多大
> 浅谈水的表面张力
> 烷基糖苷柠檬酸单酯二钠盐水溶液的动态表面张力测定及影响因素(下)
> 温度和盐离子对表面活性剂溶液与原油之间界面张力的影响规律研究
推荐新闻Info
-
> 反离子盐KBr浓度对酰胺基阳离子Gemini表面活性剂的表/界面活性的影响(二)
> 反离子盐KBr浓度对酰胺基阳离子Gemini表面活性剂的表/界面活性的影响(一)
> 典型离子型与非离子型起泡剂的界面行为对泡沫性能的影响机制
> 新无氰白铜锡电镀液及电镀方法可降低表面张力,促进镀液对复杂工件的润湿
> 一种耐超高温酸液体系、制备方法及其应用
> 纳米渗吸驱油剂种类、降低界面张力和改变润湿性的能力等机理研究(四)
> 复合驱中聚合物与阴离子表面活性剂的协同作用研究
> 化学组成对无碱铝硼硅OLED基板玻璃表面张力的影响——结果、结论
> 化学组成对无碱铝硼硅OLED基板玻璃表面张力的影响——摘要、实验方法
> 纳米渗吸驱油剂种类、降低界面张力和改变润湿性的能力等机理研究(三)
不同浓度下白糖、红糖溶液的表面张力系数变化
来源:山西大同大学学报(自然科学版) 浏览 2955 次 发布时间:2023-06-27
液体表面总是处于一种绷紧的状态,这是由于液面各部分之间存在着相互拉紧的力,这种力就是表面张力,表征表面张力的一个重要参数是表面张力系数,它的大小由液体的种类及温度决定,不同溶质的溶液其表面张力系数亦不尽相同。测定液体的表面张力系数也是大学物理实验中一个重要的基本力学实验,本文测定了不同蔗糖溶液在不同浓度下对表面张力系数的影响。
1、测量原理
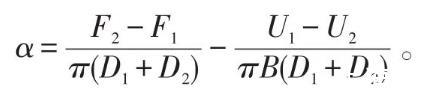
测量表面张力系数的方法有拉脱法、毛细管法、最大气泡压力法、光纤干涉法、激光衍射法等,本实验中采用拉脱法。实验仪器为FD-NST-1表面张力系数测定仪,其拉力与输出电压关系为F=U/B,B为传感器灵敏度。
一个金属环其内、外径分别为D1和D2,将其固定在硅压阻力敏传感器上,并垂直浸没于液体中,通过旋转螺丝升降平台,降低平台时,圆环被渐渐拉起,金属环和液面之间拉起环形液膜,忽略被拉起的液膜重力,此时拉力为
F1=m0g+fcosθ,
其中,m0为吊环质量,f为液体表面张力。f=π(D1+D2)α,α为表面张力系数,θ为表面张力与竖直方向的夹角,称为湿润角。
当液膜即将被拉脱时,θ≈0传感器受到的拉力为
F1=m0g+f,
液膜被拉脱后拉力为
F2=m0g,
故表面张力系数为
2、数据测量和处理
2.1硅压力敏传感器定标
为了减小人为误差,对于力敏传感器的灵敏度的测量采用先依次增加砝码片个数,测出相应电压用U+表示,再依次减小砝码片个数,测出相应电压用U-表示,然后再将电压取平均值。测量数据如下,太原地区的重力加速度为9.7970 m/s2。由图1得传感器的灵敏度为B=2.6792 V/N,线性相关系数R2=0.9999。
2.2不同蔗糖溶液的表面张力系数测定
本实验所用吊环外径D1=3.496 cm,内径D2=3.310 cm,调节上升架,记录环在即将拉断液体时数字电压表的读数为U1,拉断时数字电压表的读数为U2。实验所选样品为白糖和红糖,这两种蔗糖由于提取的工艺不同而呈现不同的颜色,但都属于蔗糖类,实验中分别配置了从1%~8%的浓度的白糖溶液和红糖溶液,在20℃下分别测量其不同浓度下的表面张力系数,测量数据如表2和表3,做表面张力系数随浓度变化的图如图2,3。
由测量数据及图像可看出,与纯水的表面张力系数(72.75×10-3N/m)相比,当加了蔗糖后,其表面张力系数均有所降低。在同一浓度下,白糖溶液的表面张力系数大于红糖溶液的表面张力系数;对于白糖溶液,随着浓度的增加,表面张力系数先快速减小,在4%的浓度时表面张力系数达到最小,之后又有小幅增加;对于红糖溶液,其表面张力系数要低于白糖溶液,随着浓度的增加,表面张力系数减小,只是在浓度较小时减小的快,浓度较大时减小的慢。
表2白糖溶液的表面张力系数
图2白糖溶液的表面张力系数
出现这种现象的原因与两种蔗糖的成分有关,红糖是将甘蔗切碎碾压成汁液去除泥土、细菌、纤维等杂质,慢火熬制而成,其主要成分蔗糖、维生素、微量元素及氨基酸等,白糖是红糖经洗涤、离心、分蜜、脱光等几道工序制成的,其主要成分是碳水化合物和钙,由于两种糖类的成分不同,使得他们的表面张力系数不同。
表3红糖溶液的表面张力系数
图3红糖溶液的表面张力系数
3、结论
不同种类的杂质的表面张力系数是不同的,掺入同类杂质如蔗糖,由于不同的制作工艺,得到不同的蔗糖如红糖和白糖,其成分有差别,这样的差别也会导致不同的蔗糖溶液的表面张力系数不同,蔗糖溶液的表面张力系数比纯水的表面张力系数小,同一浓度下,白糖溶液的表面张力系数大于红糖溶液的表面张力系数,而且随着浓度的增加,两种溶液的表面张力系数的变化趋势也不尽同。





