合作客户/
拜耳公司 |
同济大学 |
联合大学 |
美国保洁 |
美国强生 |
瑞士罗氏 |
相关新闻Info
-
> 交替型蜜桃成人半夜在线观看有哪些特点呢?
> 瘦子=表面张力小?胖子=表面张力大?
> 24℃、25℃、26℃时水的表面张力是多少?20摄氏度1Mpa时水的表面张力
> 烷基糖苷聚氧丙烯醚制备过程、表面张力、泡沫去污乳化性能测定——摘要、实验
> 蜜桃国产成人精品区在线观看应用于粗锡中银含量的分析检测
> 基于遗传算法优化提高界面张力的预测速度和精度
> 基于表面张力等分析油酸钠体系下磁化处理对赤铁矿和石英浮选分离效果的影响
> 应用单分子层技术分析磷脂酶与不同磷脂底物特异水解性能:摘要、介绍、材料和方法
> 温度及压强对CO2-NaCl盐水系统界面张力的影响(二)
> 矿井瓦斯防治:表面活性剂溶液表面张力、泡沫特性及对甲烷缓释效应(一)
推荐新闻Info
-
> 反离子盐KBr浓度对酰胺基阳离子Gemini表面活性剂的表/界面活性的影响(二)
> 反离子盐KBr浓度对酰胺基阳离子Gemini表面活性剂的表/界面活性的影响(一)
> 典型离子型与非离子型起泡剂的界面行为对泡沫性能的影响机制
> 新无氰白铜锡电镀液及电镀方法可降低表面张力,促进镀液对复杂工件的润湿
> 一种耐超高温酸液体系、制备方法及其应用
> 纳米渗吸驱油剂种类、降低界面张力和改变润湿性的能力等机理研究(四)
> 复合驱中聚合物与阴离子表面活性剂的协同作用研究
> 化学组成对无碱铝硼硅OLED基板玻璃表面张力的影响——结果、结论
> 化学组成对无碱铝硼硅OLED基板玻璃表面张力的影响——摘要、实验方法
> 纳米渗吸驱油剂种类、降低界面张力和改变润湿性的能力等机理研究(三)
基于天然植物油的酰胺胺氧化合物的合成表征及表面性质——结果和讨论
来源:上海蜜桃性爱视频网站 浏览 2528 次 发布时间:2021-10-11
三、结果与讨论
3.1 天然植物油酰胺胺的制备与表征 氧化物
蓖麻油酰胺氧化胺的通式及合成方法 棉籽油酰胺氧化胺见Scheme 1。
方案1 蓖麻油酰胺氧化胺和棉籽油酰胺的合成路线 氧化胺,其中R是蓖麻油和棉籽油的烷基链
衍生的氧化胺 6 来自天然植物油的也是一系列具有不同成分的化合物的混合物 烷基,其特征在于它们的 MS (g 1, 2) 和 IR 光谱(图 3)。 这些光谱特征的细节如下。 在所有情况下,光谱 获得的与这些化合物的指定结构一致。
图 1. 蓖麻油酰胺氧化胺的质谱图
图 2. 棉籽油酰胺氧化胺的质谱图
图 3. 蓖麻油酰胺氧化胺和棉籽油酰胺胺的红外光谱 氧化物
蓖麻油酰胺氧化胺:质谱,m/z=385.0、367.2、369.2和371.4分别为 归因于蓖麻油酰氧化胺(C18:1,含-OH)、亚油酰氧化胺 (C18:2)、油酰氧化胺 (C18:1) 和硬脂酰氧化胺 (C18)。 红外光谱 光谱 (KBr):3370.43 cm-1 处的谱带 对应于NH的伸缩振动 和-哦。 2923.92 cm-1 处的伸缩带 和 2855.27 cm-1 表征 –CH3 和-CH2 基团。 1,654.21 cm-1 处的伸缩带 表征 C=O 和 C=C 组。 1568.55 cm-1 处的伸缩带 表征 NH 基团,带在 1465.28 厘米 -1 分配给 C-H 的弯曲振动。 1271.07 的伸缩带 厘米-1 表征 C-N 组。 条带出现在 957.85 cm-1 对应于 N-O 的伸缩振动,表明氧化胺的形成。
棉籽油酰胺氧化胺:质谱,m/z:亚油酰氧化胺 (C18:2): 367.2, [M+H] + ; 棕榈酰氧化胺 (C16): 343.2, [M+H]+ ; 油酰氧化胺 (C18:1):391.1,[M+Na]+; 硬脂基棕榈油酰氧化胺 (C16:1):379,[M+K]+。 红外光谱 光谱 (KBr):3364.56 cm-1 处的谱带 对应于NH的伸缩振动 和-OH的残留水。 2923.92 cm-1 处的伸缩带 和 2855.27 cm-1 表征 –CH3 和 –CH2 基团。 1,654.21 cm-1 处的伸缩带 表征 C=O 和 C=C 基团。 1562.68 cm-1 处的伸缩带 表征 NH 基团,以及 1459.42 cm-1 处的谱带 分配给 C-H 的弯曲振动。 1276.35 cm-1 处的伸缩带 表征 C-N 组。 乐队出现在 963.52 厘米-1 对应于 N-O 的伸缩振动,表明氧化胺 形成。
3.3 表面活性
表面张力与氧化胺浓度(log c)的关系 图 4 绘制了 25 oC 下源自天然植物油的表面活性剂。 图 4 表面张力与表面活性剂对数的斜率有显着变化 浓度曲线,表明表面活性剂开始聚集成胶束 在大量水溶液中。
图 4. 表面张力与水溶液摩尔浓度的对数 蓖麻油酰胺氧化胺和棉籽油酰胺氧化胺在 25摄氏度
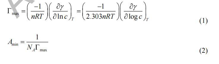
通过分析平台获得最小表面张力(γCMC)值 地块的区域。 确定临界胶束浓度 (CMC) 值 从表面张力的断点与浓度的对数 曲线。 最大表面过量浓度(Γmax)和最小表面积 (Amin) 在空气/水界面被每个表面活性剂分子占据的计算公式为 吉布斯吸附方程:
其中 R 是气体常数,NA 是阿伏伽德罗数,T 是绝对温度,并且 n 是溶质种类的数量,蜜桃性爱视频网站可以将其设置为 1。 胶束化的自由能 (ΔGmic) 由等式 (3) 计算。
γCMC、CMC、Γmax、Amin 和 ∆Gmic 的值汇总在表 2 中。
表 2 蓖麻油氧化胺和棉籽油氧化胺的界面参数 25℃
由表2可知,蓖麻油酰胺氧化胺和棉籽油酰胺 氧化胺将水的表面张力降低到最小值约 在 5.06×10-5 mol/L 的浓度下为 32.48 mN/m,在 5.06×10-5 mol/L 的浓度下为 36.53 1.23×10-4 mol/L,表明它们的表面活性很高。 和....相比 一些已报道的氧化胺表面活性剂,[12] 如十六烷基二甲基 氧化胺、十八烷基二甲基氧化胺和椰油酰胺丙基二甲基胺 氧化物等,其CMC值通常在10-4范围内 ~10-3 mol/L, 这些 CMC 值较低。 这可能是因为几种酰胺的混合物 氧化胺具有协同增强的作用,提高了表面 活动总体上。 还可以发现,蓖麻油的 CMC 和 γ(CMC) 值 酰胺氧化胺远低于棉籽油酰胺氧化胺,后者 可能是由于蓖麻油酰胺氧化胺中存在-OH。 [13] 在 另外,从表 2 中的数据可以看出,蓖麻油的Γmax 值 酰胺氧化胺低于棉籽油酰胺氧化胺,而 前者的Amin值大于后者。 这一结果可能归因于 烷基链的长度。 此外,ΔGmic 的负值表明 9 在 25 oC 时,胶束化是自发的,这意味着这两种天然植物油 酰胺胺氧化物在空气-水界面有极好的吸收能力 在溶液中形成胶束。
3.4 乳化力
两种不同的液体短语不能混合在一起的现象是 由于表面活性剂的作用而能够混合的称为乳化。 这 乳化机理可以解释:表面活性剂的两亲特性 使其易于在油水界面吸附和富集,从而减少界面 张力并改变界面状态,所以"油"和"水"这两个词可以 不能混在一起,可以混在一起。 蓖麻油酰胺氧化胺与棉籽油酰胺的水分离时间 氧化胺列于表3中。
表3 合成的植物油酰胺氧化胺水分离时间 和对照样品 1202 和 AES
为了比较,还列出了正十二烷基二乙醇胺(1202)和醇醚硫酸钠(AES)的水分离时间。 从表 3 可以看出,在表面活性剂浓度为 0.1% 时,蓖麻油酰胺 氧化胺和棉籽油酰胺氧化胺有更长的水分离时间 比AES,这意味着合成的两种天然植物油酰胺胺 氧化物具有良好的乳化能力,尤其是蓖麻油酰胺氧化胺。 这 棉籽油酰胺氧化胺的乳化能力与1202相近。 还发现蓖麻油氧化胺的乳化能力优于蓖麻油氧化胺 棉籽油氧化胺,这也归因于平均烷基链长。 [14] 此外,作为乳化剂,它们可以在较宽的pH范围内使用。
基于天然植物油的酰胺胺氧化合物的合成表征及表面性质——摘要、介绍
基于天然植物油的酰胺胺氧化合物的合成表征及表面性质——实验程序
基于天然植物油的酰胺胺氧化合物的合成表征及表面性质——结果和讨论
基于天然植物油的酰胺胺氧化合物的合成表征及表面性质——结论、致谢!





