合作客户/
拜耳公司 |
同济大学 |
联合大学 |
美国保洁 |
美国强生 |
瑞士罗氏 |
相关新闻Info
-
> 基于界面张力弛豫法考察羟基取代烷基苯磺酸盐的界面扩张流变性质(一)
> 超低界面张力复配表面活性剂用于渤海X油田水驱后的“挖潜提采”(二)
> 聚氧乙烯醚磺酸盐类表面活性剂支链化可降低界面张力
> 固体、盐溶液表面张力测量及与其在洁净硅橡胶表面接触角的关系研究(三)
> 含氟表面活性剂的合成与应用研究
> 覆盖有疏水网的开放管道液体输运稳定性研究(上)
> 温度、截断半径、模拟分子数对水汽液界面特性的影响规律(二)
> 棕榈酸酯淀粉糊液理化性质及替代洗衣粉配方中的LAS去污系数研究(一)
> 界面张力在10-1mN/m的阴离子表面活性剂配比与性能测试
> 不同表面张力和接触角下膨胀土裂隙的发展演化过程(一)
推荐新闻Info
-
> 反离子盐KBr浓度对酰胺基阳离子Gemini表面活性剂的表/界面活性的影响(二)
> 反离子盐KBr浓度对酰胺基阳离子Gemini表面活性剂的表/界面活性的影响(一)
> 典型离子型与非离子型起泡剂的界面行为对泡沫性能的影响机制
> 新无氰白铜锡电镀液及电镀方法可降低表面张力,促进镀液对复杂工件的润湿
> 一种耐超高温酸液体系、制备方法及其应用
> 纳米渗吸驱油剂种类、降低界面张力和改变润湿性的能力等机理研究(四)
> 复合驱中聚合物与阴离子表面活性剂的协同作用研究
> 化学组成对无碱铝硼硅OLED基板玻璃表面张力的影响——结果、结论
> 化学组成对无碱铝硼硅OLED基板玻璃表面张力的影响——摘要、实验方法
> 纳米渗吸驱油剂种类、降低界面张力和改变润湿性的能力等机理研究(三)
新型POSS基杂化泡沫稳定剂表面张力测定及对泡沫压缩性能的影响(一)
来源:功能材料 浏览 279 次 发布时间:2025-09-03
摘要:为提升硬质聚氨酯材料的力学性能,研究以巯巯基POSS(SH-POSS)为有机-无机纳米桥梁,采用“烯-硫醇”点击化学反应,结合疏水基团单端乙烯基聚二甲基硅氧烷(VDMS)、2-壬烯酸甲酯(FEMA)以及亲水基团聚乙二醇单丙烯酸酯(APEG400)和烯丙基聚醚(APEG750)制备了新型POSS基杂化泡沫稳定剂。利用傅里叶红外光谱和核磁共振波谱对目标杂化材料进行了分子结构表征,通过测试其表面张力、溶解性及力学性能,评估了不同化学结构泡沫稳定剂对泡沫压缩性能的影响。结果显示,POSS基复合材料结构可控的分子特点能使其表面张力低至25.31mN/m,聚醚链段的存在能有效改善组分间相容性,显著提高了气泡稳定性。该纳米杂化材料可有效吸附于硬质聚氨酯泡沫结构内部,增强泡壁强度,赋予泡沫材料更加细腻均匀的泡孔分布及优异的力学性能,压缩强度提升至205.29kPa。
引言
硬质聚氨酯泡沫材料因其优异的隔热、隔音和机械性能,广泛应用于建筑、家电和汽车等领域。随着应用需求的增加,特别是在承载性应用中,泡沫的抗压缩性能变得尤为重要。泡沫的结构稳定性与发泡过程中泡孔的尺寸、均匀性及泡孔壁强度密切相关,因此优化泡孔结构和选择合适的泡沫稳定剂至关重要。
目前,常用的有机硅基泡沫稳定剂虽然能调节泡孔结构,但现有市场销售的泡沫稳定剂在高负荷应用条件下,仍无法显著提高聚氨酯泡沫的抗压缩强度,泡孔结构容易受压变形,从而影响材料的整体性能。
POSS基复合材料因其笼型结构和良好的相容性,具有改善聚氨酯泡沫力学性能的潜力,它不仅能在泡孔表面形成稳定膜,抑制大孔生成,还能与发泡组分反应,增强泡孔内壁的力学性能。
为此,本研究提出了一种基于自制POSS基复合材料的新型泡沫稳定剂,通过在其结构中引入特定的功能化链段,以改善硬质聚氨酯泡沫力学性能。实验结果表明,添加自制POSS基复合材料的泡沫不仅泡孔结构均匀,泡孔内壁致密,压缩性能显著增强,还能显著提升抗压缩强度,展现出良好的应用潜力。本研究通过对POSS基泡沫稳定剂的分子结构设计及其在发泡体系中的作用机理进行深入探讨,为未来硬质聚氨酯泡沫材料的优化提供了新的思路和解决方案。
1实验
1.1实验原材料
试剂:巯巯基POSS(SH-POSS)、聚乙二醇单丙烯酸酯、聚硅氧烷为实验室自制;环戊烷、光引发剂(2,2-二甲氧基-2-苯基苯乙酮)、2-壬烯酸甲酯、二氯甲烷均为分析纯,上海泰坦科技;烯丙基聚醚、聚醚多元醇、多异氰酸酯、国产泡沫稳定剂1(国产-1)、进口泡沫稳定剂2(进口-2)均源自南京美思德有限公司。
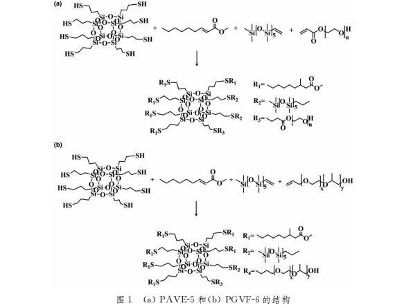
1.2 POSS-APEG4001-VDMS2-FEMA5与POSS-APEG750_1-VDMS1-FEMA6杂化材料的制备
在已经加入25mL二氯甲烷溶剂的50mL圆底烧瓶中加入定量组分的APEG400、VDMS和FEMA,进行混合溶解,最后加入1%(质量分数)的光引发剂溶解完全后进行封口处理,于温度为30℃、搅拌速度为300r/min的条件下,放置于紫外灯(20W)照射45min,反应结束后,旋蒸除去溶剂,最终得到无色透明、流动性明显且富有粘稠状态的液体产物POSS-APEG4001-VDMS2-FEMA5,简称为PAVE-5。同样的方法改变其中之一的单体为APEG750,合成得到POSS-APEG7501-VDMS1-FEMA,简称PGVF-6。
1.3硬质聚氨酯泡沫塑料制备
根据传统制备工艺制备硬质聚氨酯泡沫,分别把添加国产-1、进口-2、PAVE-5和PGVF-6泡沫稳定剂得到的硬质聚氨酯泡沫命名为RPU-1、RPU-2、RPU-3、RPU-4。
表1添加不同泡沫稳定剂得到的不同硬质聚氨酯泡沫
1.4样品的性能及表征
1.4.1傅里叶红外光谱(FT-IR)
通过FT-IR光谱仪分析样品的分子结构和化学组分,Nicolet8700型,赛默飞世尔科技公司。
1.4.2核磁共振氢谱(1HNMR)
通过核磁共振谱仪分析样品的分子结构和化学组分,DMX600型,布鲁克磁共振事业部。
1.4.3压缩性能测试
按GB/T8813-2008标准,通过微控电子万能试验机测试样品的压缩性能,WDW3020型,上海华龙测试仪器有限公司。
1.4.4扫描电镜(SEM)
通过台式扫描电镜分析样品的微观泡孔结构和分布状况,SU8010型,日立科学仪器有限公司。
1.4.5表面张力
通过全自动表/界面张力仪测试样品的表面张力,Delta-8型,芬兰Kibron公司。
1.4.6黏度
通过旋转流变仪测试样品的黏度,MCR302e型,安东帕(上海)商贸有限公司。
新型POSS基杂化泡沫稳定剂表面张力测定及对泡沫压缩性能的影响(一)





