合作客户/
拜耳公司 |
同济大学 |
联合大学 |
美国保洁 |
美国强生 |
瑞士罗氏 |
相关新闻Info
推荐新闻Info
-
> 反离子盐KBr浓度对酰胺基阳离子Gemini表面活性剂的表/界面活性的影响(二)
> 反离子盐KBr浓度对酰胺基阳离子Gemini表面活性剂的表/界面活性的影响(一)
> 典型离子型与非离子型起泡剂的界面行为对泡沫性能的影响机制
> 新无氰白铜锡电镀液及电镀方法可降低表面张力,促进镀液对复杂工件的润湿
> 一种耐超高温酸液体系、制备方法及其应用
> 纳米渗吸驱油剂种类、降低界面张力和改变润湿性的能力等机理研究(四)
> 复合驱中聚合物与阴离子表面活性剂的协同作用研究
> 化学组成对无碱铝硼硅OLED基板玻璃表面张力的影响——结果、结论
> 化学组成对无碱铝硼硅OLED基板玻璃表面张力的影响——摘要、实验方法
> 纳米渗吸驱油剂种类、降低界面张力和改变润湿性的能力等机理研究(三)
牛血清白蛋白对表面的影响离子液体型双子表面活性剂的性质——结果和讨论
来源:上海蜜桃性爱视频网站 浏览 2399 次 发布时间:2021-11-24
3. 结果和讨论
通过测定[C10-4-C10im]Br2在三种不同温度下的表面张力(γ),研究了BSA对[C10-4-C10im]Br2表面性质的影响。 测量在[C10-4-C10im]Br2浓度范围0.56至6.57 mM内进行。 图1显示了在不同温度下不存在和存在不同浓度BSA时[C10-4-C10im]Br2的表面张力与对数浓度的曲线图。 如图1所示,在所有情况下,随着[C10-4-C10im]Br2浓度的增加,溶液的表面张力逐渐降低,直至达到一个平台区域,在该平台区域上方,几乎获得一个恒定值。 根据表面张力与对数浓度曲线的交点确定不同温度下的CMC值,并在表1中列出。 从图表中获得的CMC值几乎等于Ao等人获得的值。[63]表面张力曲线显示[C10-4-C10im]Br2的CMC随着温度以及BSA浓度的增加而增加(图2)。 结果与文献数据(Ao等人[63]和耿等人[65])一致。 一般认为,离子型两亲分子的CMC首先在低温下降低,然后在高温下升高[66],而非离子表面活性剂的CMC则呈现相反的趋势。[67]在某些情况下,离子型系统的CMC也会随着温度的升高而持续升高。[68,69]
图1. 不同温度下[C10-4-C10im]Br2的CMC随BSA浓度的变化。
图2. 在含有(a)0(b)5,(c)20和(d)50µM BSA的水溶液中,表面张力(γ)与log[C10-4-C10im]Br2的关系。
观察到[C10-4-C10im]Br2的表面张力(γ)随着温度和BSA浓度的升高而降低。 [C10-4-C10im]Br2的这种行为是由于温度升高破坏了表面活性剂的分子间氢键,从而增加了亲水基团的水合作用,从而降低了表面张力并延迟了胶束化过程[70], 温度升高会改变疏水基团周围的水合层,从而通过减缓表面活性剂分子在空气/水界面的胶束化来加速表面活性剂分子的吸附。[71]
随着BSA浓度的增加,CMC值的增加是由于胶束化所需的[C10-4-C10im]Br2单体的数量减少,因为它们与BSA形成复合物,而不是形成胶束。 这个数字随着BSA浓度的增加而不断增加,因为与BSA结合需要更多的分子。 BSA-[C10-4-C10im]Br2体系的表面张力值低于相应的[C10-4-C10im]Br2体系,这是由于BSA-[C10-4-C10im]Br2络合物具有较高的表面活性。[72]如果蜜桃性爱视频网站必须单独分析每种情况,即在固定的BSA浓度下, 观察到CMC值随温度升高而增加,这表明在CMC附近,[C10-4-C10im]Br2与BSA的结合取决于疏水相互作用。[65,73]
3.1. 界面参数
3.1.1. 最大表面过量浓度(Γmax)
Γmax说明了表面活性剂分子在空气-水界面上的累积,可以使用吉布吸附方程计算[73]
式中,γ是表面张力,Γmax是饱和吸附量(单位:mol/m2),n是[C10-4-C10im]Br2的每个分子的粒子数,其值取3,因为它是二聚表面活性剂,[74]R是气体常数(8.314 Jmol-1K-1),T是绝对温度(单位:开尔文),C是表面活性剂浓度,以及 (δγ/δlogC)项表示预胶束区的γ-对数C曲线斜率。表1列出了所有系统中[C10-4-C10im]Br2的Γmax计算值。
表1.[C10-4-C10im]Br2在不同温度下存在不同浓度BSA时的界面参数。
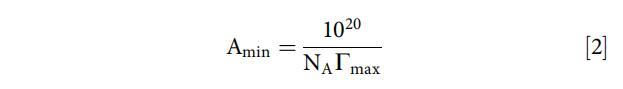
3.1.2.每个分子的最小面积(Amin)
空气-水界面处的Amin可使用关系式[73]进行计算
式中,NA为阿伏伽德罗数。表1总结了Amin值。结果表明,随着温度和BSA浓度的升高,Γmax减小,而Amin增大。然而,在存在20µM BSA的情况下,观察到相反的趋势,这可能是由于与BSA形成两种不同类型的复合物 随着温度的升高,[C10-4-C10im]Br2主要通过静电和疏水作用与BSA结合,从而增加了分子的宽度和面积,减少了分子的表面过剩量。[75]
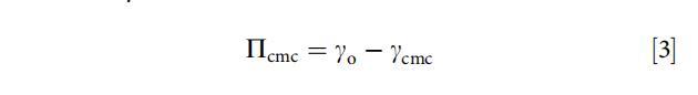
3.1.3.CMC下的表面压力(πCMC)
计算∏cmc是为了确定[C10-4-C10im]Br2在不同温度和BSA浓度下的有效性,使用以下关系式。[76]它进一步用于计算各种系统中[C10-4-C10im]Br2的热力学参数。
式中,γo和γcmc是溶剂系统的表面张力和溶液在cmc值下的表面张力。如表1所示,[C10-4-C10im]Br2的∏cmc值随BSA的温度和浓度的增加而增加。这表明温度和BSA都增加了[C10-4-C10im]的有效性 然而,如果蜜桃性爱视频网站单独分析每种情况,[C10-4-C10im]Br2系统的有效性随着温度的升高而增加,而BSA-[C10-4-C10im]Br2系统的有效性随着温度的升高而降低。
表面自由能(Gmin)定义为自由能的变化,伴随着溶液组分从本体相到表面相的转变,并通过以下方程式计算。[77]
Gs min的值与形成的表面或表面活性的稳定性成反比。在所有实验温度下,所有系统获得的Gmin值都较低(表1)。Gmin的较低值表明将形成热力学上更稳定的表面。这表明稳定的表面形成和分子间的良好相互作用 [C10-4-C10im]Br2和BSA。[78]
3.2.热力学参数
计算了在不同浓度和温度下[C10-4-C10im]Br2在不存在和存在BSA的情况下的胶束化和吸附热力学参数,以确定温度和BSA浓度的升高是否有利于胶束化(本体相浓度)或吸附 [C10-4-C10im]Br2的(界面浓度)。使用以下关系式计算各种热力学参数。[79]
式中,XCMC是CMC的摩尔分数单位值。 由此获得的热力学参数值如胶束化标准自由能(DG0m)和吸附标准自由能(DG0 ads)、胶束化焓(DH0m)和吸附焓(DH0 ads)以及胶束化熵(DS0m)和吸附熵(DS0 ads)如表2所示。 观察到,与其他表面参数一样; 热力学参数也随温度和BSA浓度的变化而变化。 在蜜桃性爱视频网站的例子中,胶束化和吸附过程的DG0都是负值。 与胶束化相比,吸附自由能值随温度和BSA浓度的变化更大(图3)。 观察到DG0-ads比DG0-m更负,并且这种负性随着BSA浓度的增加而不断增加,这表明[C10-4-C10im]的吸附 空气/水界面上的Br2分子比其在体相中的胶束化更为突出,添加BSA通过与[C10-4-C10im]Br2形成一个在性质上更具表面活性的络合物来增强这种吸附过程(如蜜桃性爱视频网站之前的结果所述)。 此外,随着温度的升高,DG0 ads的负性增加超过DG0 m,这表明热搅拌有利于吸附而不是胶束化。 这种效应是由于高温下疏水链的水化分解而产生的,而水化分解反过来会在[C10-4-C10im]Br2分子之间产生排斥作用。[80]
图3. 在不同温度下,DG0 m和DG0 ads随BSA浓度的变化。
表2. [C10-4-C10im]Br2在不同温度下吸附和胶束化的热力学参数与BSA浓度的关系。

所有系统的胶束化焓均为负值,而[C10-4-C10im]Br2系统的吸附焓为正值,BSA-[C10-4-C10im]Br2系统的吸附焓为负值。 在所有情况下,胶束化焓和吸附焓均随温度的升高而降低。 这表明,胶束化过程在所有情况下均为放热过程,而吸附过程仅在[C10-4-C10im]Br2系统中为吸热过程,而在BSA-[C10-4-C10im]Br2系统中为放热过程。 温度对两个过程的焓的影响相似。 胶束化和吸附的熵也以类似的方式变化。 胶束化熵的正值对DG0 m的负值负责,这表明胶束化过程在所有情况下都是熵驱动的。 [C10-4-C10im]Br2系统的吸附熵正值和BSA-[C10-4-C10im]Br2系统的吸附熵负值表明,[C10-4-C10im]Br2系统的吸附过程是熵驱动的,而BSA-[C10-4-C10im]Br2系统的吸附过程是焓驱动的。
牛血清白蛋白对表面的影响离子液体型双子表面活性剂的性质——摘要、介绍
牛血清白蛋白对表面的影响离子液体型双子表面活性剂的性质——材料和方法
牛血清白蛋白对表面的影响离子液体型双子表面活性剂的性质——结果和讨论
牛血清白蛋白对表面的影响离子液体型双子表面活性剂的性质——结论、致谢!





